Официальное опубликование правовых актов
ОФИЦИАЛЬНОЕ ОПУБЛИКОВАНИЕ
Постановление Правительства Пермского края от 13.05.2015 № 289-п
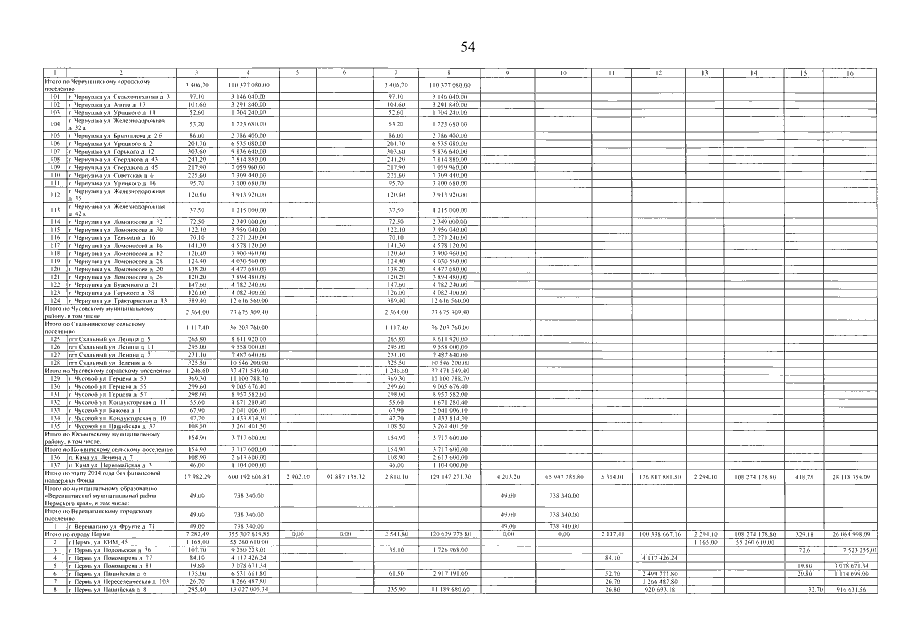
"О внесении изменений в Региональную адресную программу по переселению граждан из аварийного жилищного фонда на территории Пермского края на 2013-2017 годы, утвержденную постановлением Правительства Пермского края от 29 мая 2013 г. № 579-п "Об утверждении Региональной адресной программы по переселению граждан из аварийного жилищного фонда на территории Пермского края на 2013-2017 годы, объемов расходов по приоритетному региональному проекту "Достойное жилье" на 2013 год"
Номер опубликования: 5900201505140009
Дата опубликования: 14.05.2015
Страница №55 из 83:
Увеличить