Официальное опубликование правовых актов
ОФИЦИАЛЬНОЕ ОПУБЛИКОВАНИЕ
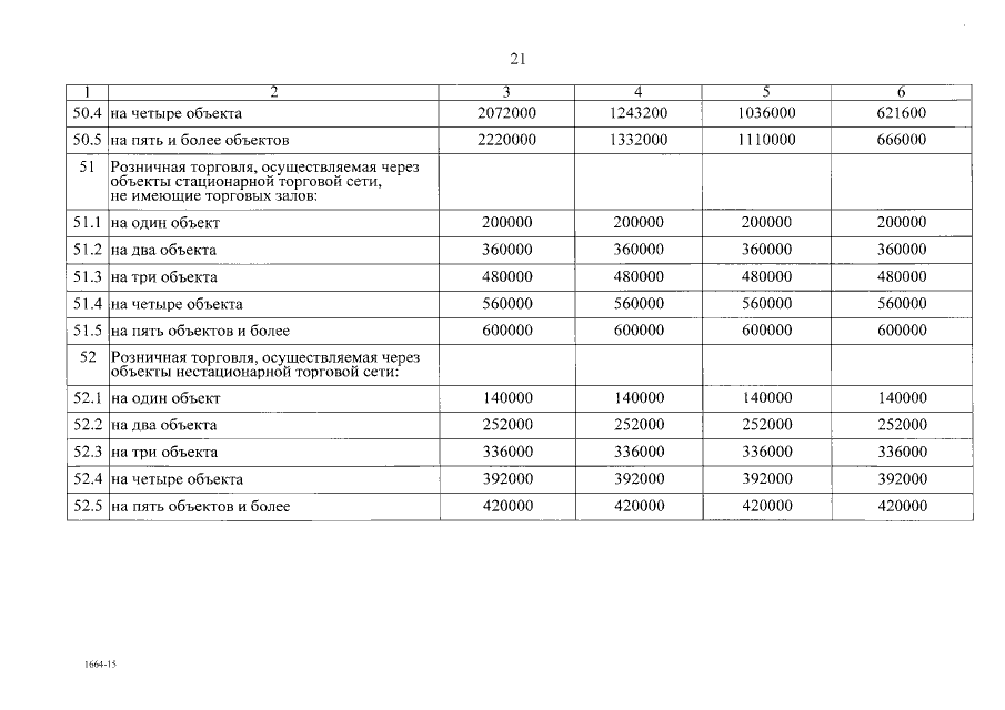
Закон Пермского края от 01.04.2015 № 465-ПК
"О патентной системе налогообложения в Пермском крае, установлении налоговой ставки в размере 0 процентов для отдельной категории налогоплательщиков, применяющих патентную систему налогообложения, и о внесении изменения в Закон Пермской области "О налогообложении в Пермском крае"
Номер опубликования: 5900201504070009
Дата опубликования: 07.04.2015
Страница №24 из 28:
Увеличить