Официальное опубликование правовых актов
ОФИЦИАЛЬНОЕ ОПУБЛИКОВАНИЕ
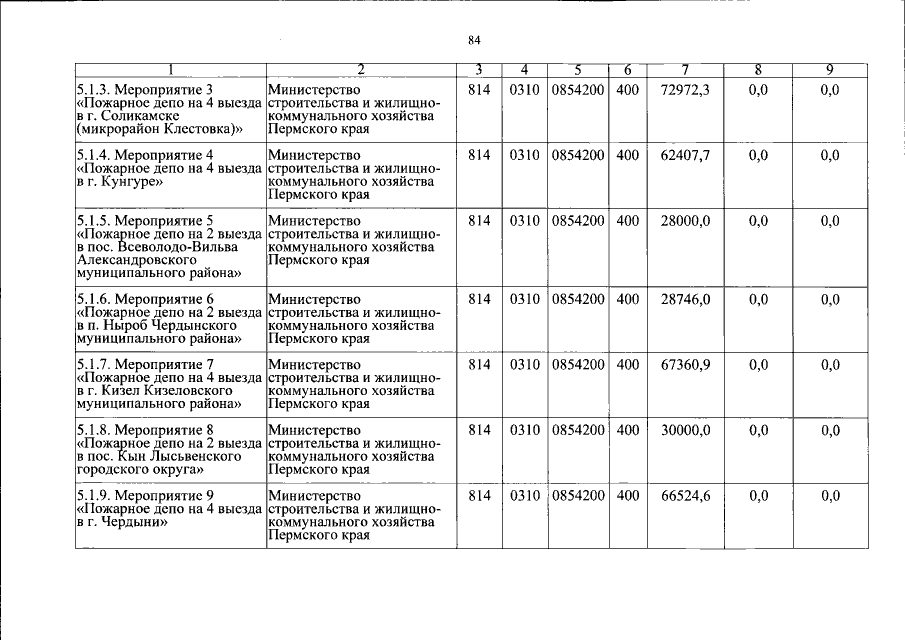
Постановление Правительства Пермского края от 19.12.2014 № 1479-п
"О внесении изменений в государственную программу Пермского края "Обеспечение общественной безопасности Пермского края", утвержденную постановлением Правительства Пермского края от 3 октября 2013 г. № 1328-п"
Номер опубликования: 5900201412240002
Дата опубликования: 24.12.2014
Страница №85 из 135:
Увеличить