Официальное опубликование правовых актов
ОФИЦИАЛЬНОЕ ОПУБЛИКОВАНИЕ
Приказ Министерства лесного, охотничьего хозяйства и природопользования Пензенской области от 27.02.2026 № 15-34
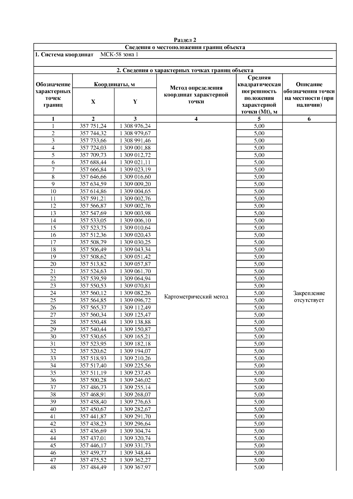
"О внесении изменения в приказ Министерства лесного, охотничьего хозяйства и природопользования Пензенской области от 02.03.2022 № 20/4 "Об установлении местоположения береговой линии (границы водного объекта), границ водоохранных зон и границ прибрежных защитных полос р. Чембар от истока до впадения в реку Ворона на территории Пензенской области"
(Зарегистрирован 27.02.2026 № 15-34)
Номер опубликования: 5801202603020057
Дата опубликования: 02.03.2026
Страница №4 из 965:
Увеличить