Приказ Министерства лесного, охотничьего хозяйства и природопользования Пензенской области от 27.02.2026 № 15-38
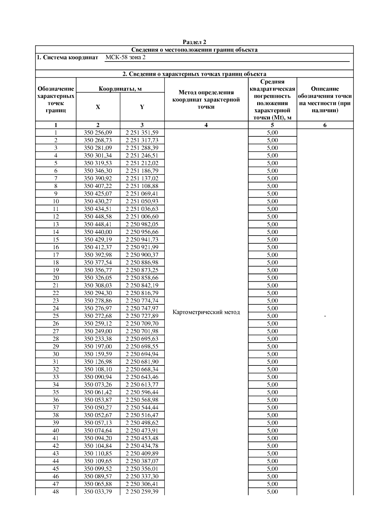
"О внесении изменения в приказ Министерства лесного, охотничьего хозяйства и природопользования Пензенской области от 27.01.2021 № 9/3 "Об установлении местоположения береговой линии (границы водного объекта), границ водоохранных зон и границ прибрежных защитных полос р. Няньга от истока до впадения в реку Уза на территории Пензенской области"
(Зарегистрирован 27.02.2026 № 15-38)
"О внесении изменения в приказ Министерства лесного, охотничьего хозяйства и природопользования Пензенской области от 27.01.2021 № 9/3 "Об установлении местоположения береговой линии (границы водного объекта), границ водоохранных зон и границ прибрежных защитных полос р. Няньга от истока до впадения в реку Уза на территории Пензенской области"
(Зарегистрирован 27.02.2026 № 15-38)
Номер опубликования: 5801202603020021
Дата опубликования:
02.03.2026
