Официальное опубликование правовых актов
ОФИЦИАЛЬНОЕ ОПУБЛИКОВАНИЕ
Приказ Министерства лесного, охотничьего хозяйства и природопользования Пензенской области от 27.02.2026 № 15-36
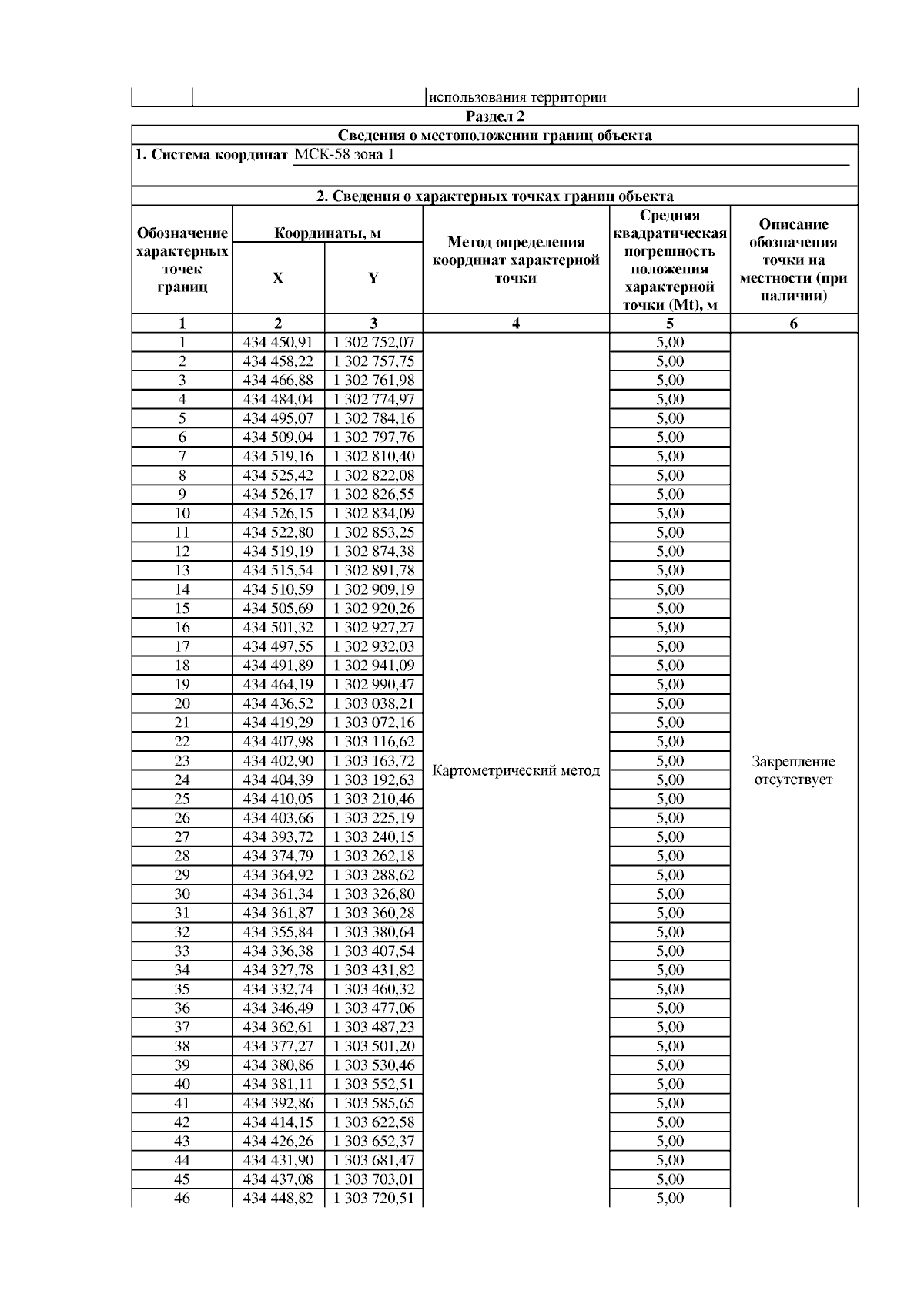
"О внесении изменения в приказ Министерства лесного, охотничьего хозяйства и природопользования Пензенской области от 02.03.2022 № 20/3 "Об установлении местоположения береговой линии (границы водного объекта), границ водоохранных зон и границ прибрежных защитных полос Вадинского водохранилища на р. Вад на территории Пензенской области"
(Зарегистрирован 27.02.2026 № 15-36)
Номер опубликования: 5801202603020018
Дата опубликования: 02.03.2026
Страница №3 из 41:
Увеличить