Официальное опубликование правовых актов
ОФИЦИАЛЬНОЕ ОПУБЛИКОВАНИЕ
Приказ Министерства лесного, охотничьего хозяйства и природопользования Пензенской области от 27.02.2026 № 15-33
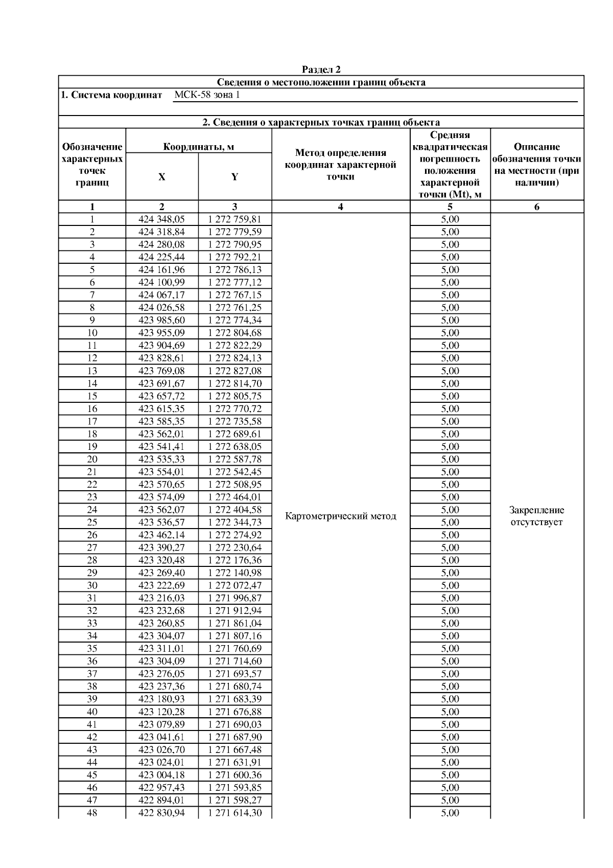
"О внесении изменения в приказ Министерства лесного, охотничьего хозяйства и природопользования Пензенской области от 02.03.2022 № 20/1 "Об установлении местоположения береговой линии (границы водного объекта), границ водоохранных зон и границ прибрежных защитных полос р. Раевки от истока до впадения в реку Вышу на территории Пензенской области"
(Зарегистрирован 27.02.2026 № 15-33)
Номер опубликования: 5801202603020015
Дата опубликования: 02.03.2026
Страница №4 из 436:
Увеличить