Официальное опубликование правовых актов
ОФИЦИАЛЬНОЕ ОПУБЛИКОВАНИЕ
Приказ Министерства лесного, охотничьего хозяйства и природопользования Пензенской области от 24.02.2026 № 15-18
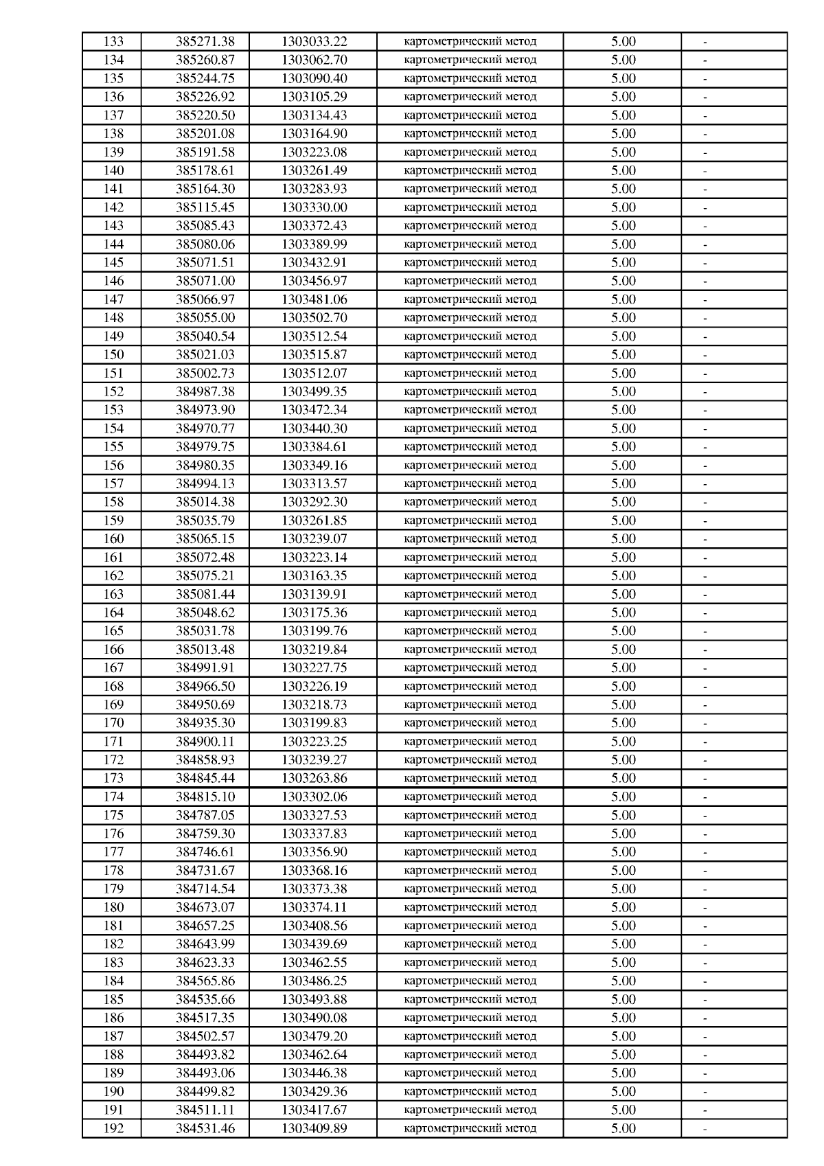
"О внесении изменения в приказ Министерства лесного, охотничьего хозяйства и природопользования от 23.08.2021 № 116/2 "Об установлении местоположения береговой линии (границы водного объекта), границ водоохранных зон и границ прибрежных защитных полос реки Поим на территории Пензенской области"
(Зарегистрирован 24.02.2026 № 15-18)
Номер опубликования: 5801202603020012
Дата опубликования: 02.03.2026
Страница №226 из 352:
Увеличить