Официальное опубликование правовых актов
ОФИЦИАЛЬНОЕ ОПУБЛИКОВАНИЕ
Приказ Министерства лесного, охотничьего хозяйства и природопользования Пензенской области от 24.02.2026 № 15-21
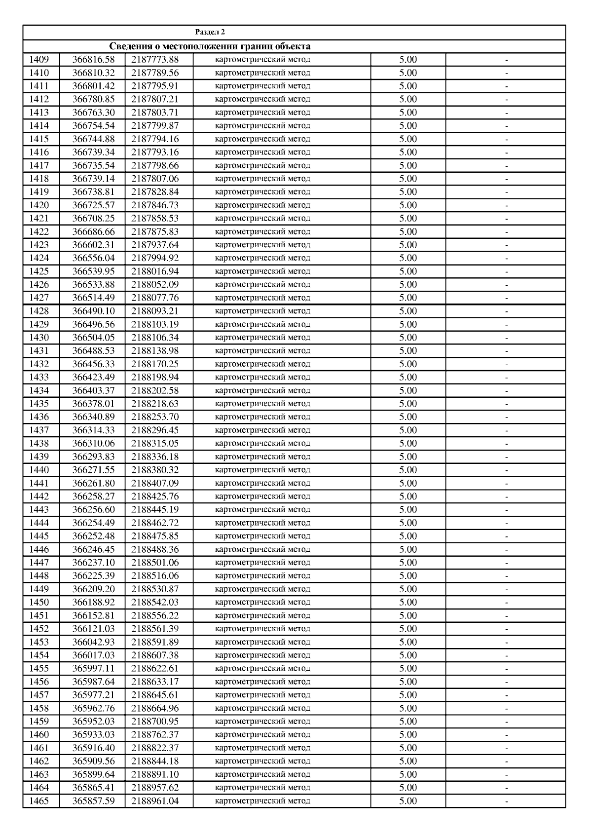
"О внесении изменения в приказ Министерства лесного, охотничьего хозяйства и природопользования Пензенской области от 18.06.2021 № 79/5 "Об установлении местоположения береговой линии (границы водного объекта), границ водоохранных зон и границ прибрежных защитных полос реки Хопер на территории Пензенской области от истока до границы с Саратовской областью"
(Зарегистрирован 24.02.2026 № 15-21)
Номер опубликования: 5801202603020007
Дата опубликования: 02.03.2026
Страница №848 из 872:
Увеличить