Официальное опубликование правовых актов
ОФИЦИАЛЬНОЕ ОПУБЛИКОВАНИЕ
Приказ Министерства градостроительства и архитектуры Пензенской области от 19.02.2026 № 23-106
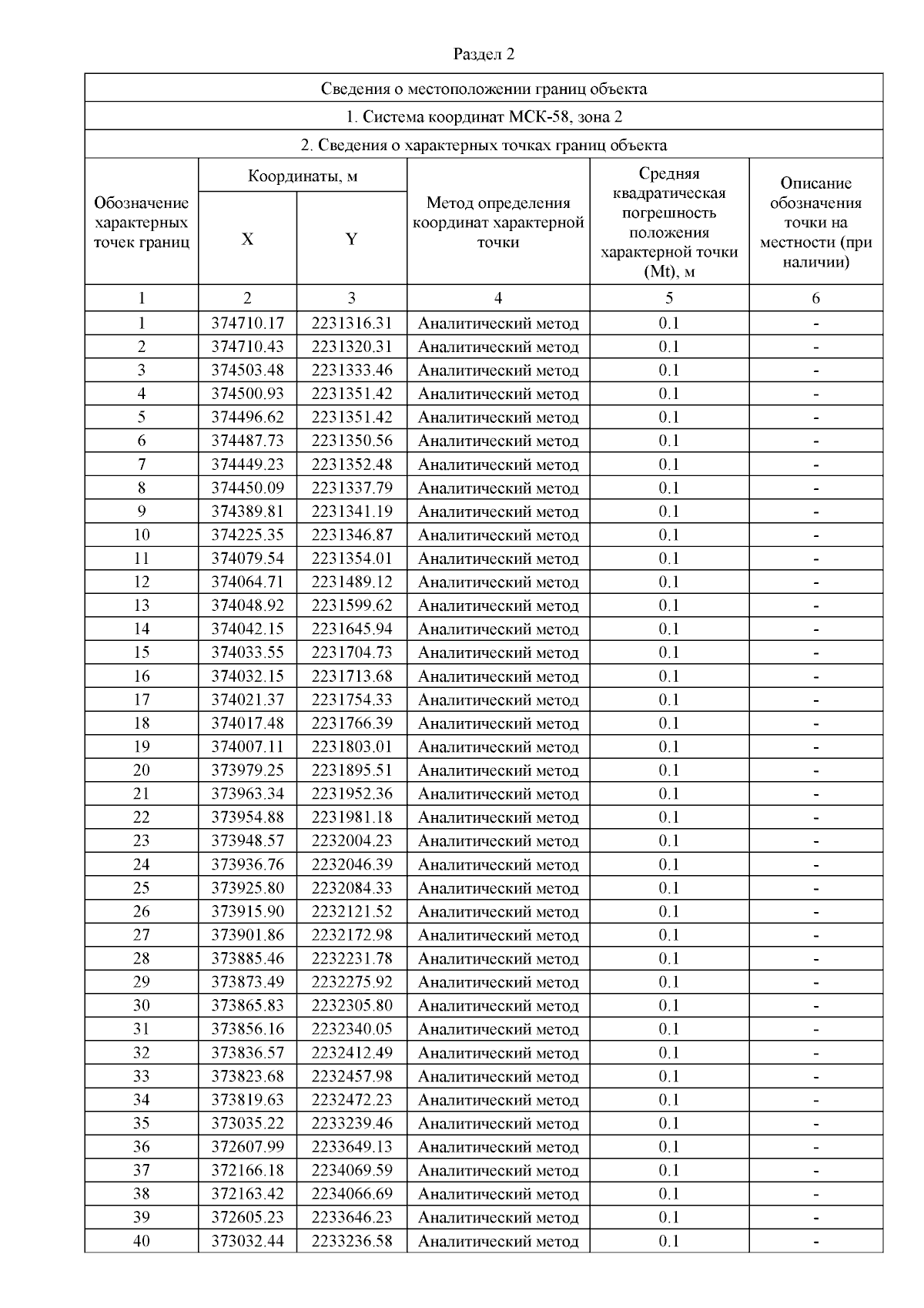
"О признании утратившим силу приказа Министерство строительства и жилищно-коммунального хозяйства Пензенской области от 29.07.2014 № 173/ОД и об утверждении границ охранной зоны существующего газопровода высокого давления, протяженностью 4156 м, расположенной по адресу: Пензенская область, г. Пенза, Первомайский район, ул. Центральная, д. 16 Г, и наложении ограничений (обременений) на входящие в нее земельные участки"
(Зарегистрирован 19.02.2026 № 23-106)
Номер опубликования: 5801202602250005
Дата опубликования: 25.02.2026
Страница №5 из 7:
Увеличить