Официальное опубликование правовых актов
ОФИЦИАЛЬНОЕ ОПУБЛИКОВАНИЕ
Приказ Министерства градостроительства и архитектуры Пензенской области от 19.02.2026 № 23-96
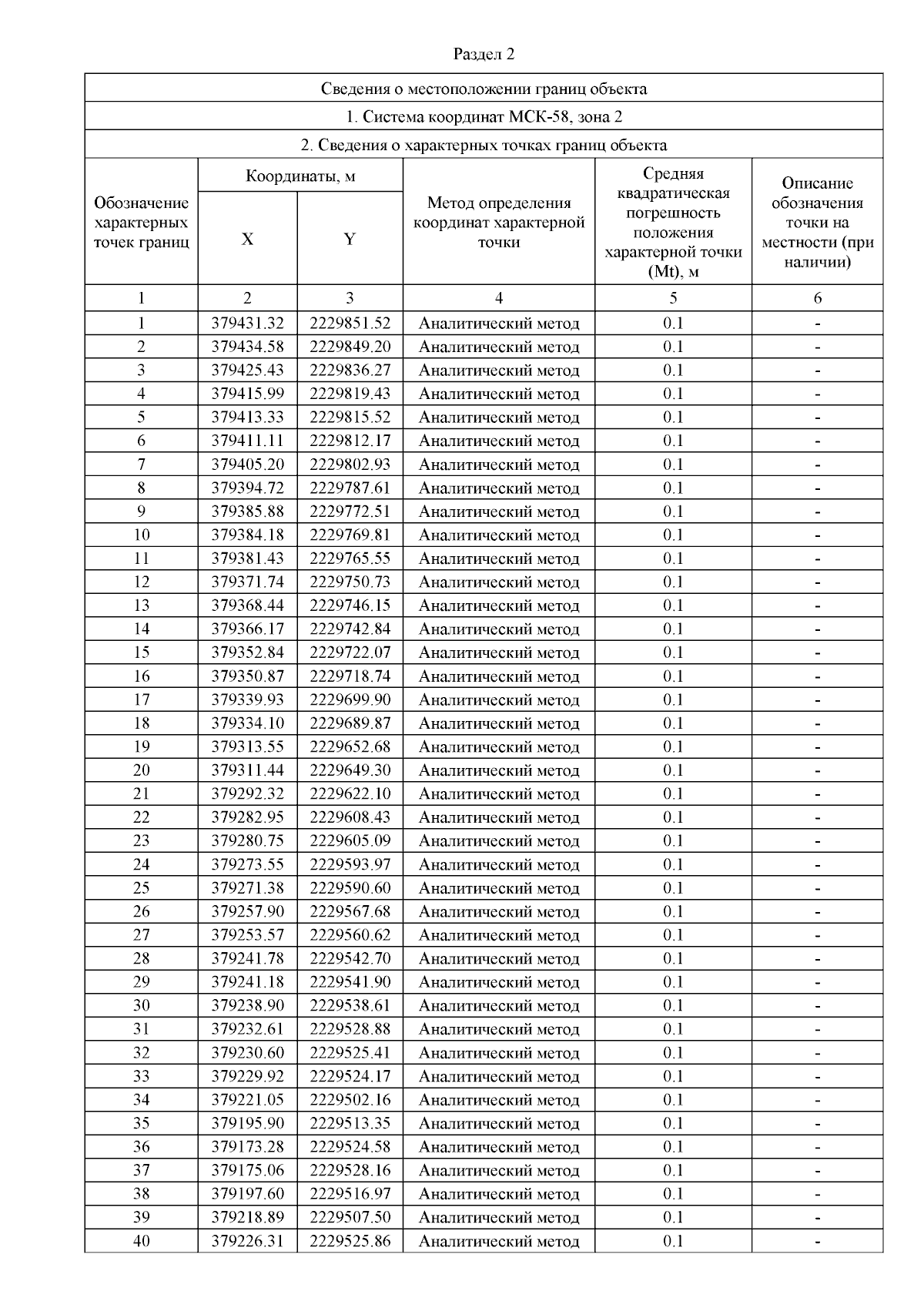
"О признании утратившим силу приказа Департамента градостроительства и архитектуры Пензенской области от 19.11.2020 № 204/ОД и об утверждении границ охранной зоны существующего внутриквартальной сети газоснабжения, протяженностью 6587 м, расположенной по адресу: Пензенская обл., г. Пенза, ул. Терновского, Экспериментальная, Пушанина, пр. Подгорный, ул. Слесарная, ул. Ялтинская, Спортивная, Ватутина, Сухумская, пр. Сухумский, пр. Терновского 4-йа, и наложении ограничений (обременений) на входящие в нее земельные участки"
(Зарегистрирован 19.02.2026 № 23-96)
Номер опубликования: 5801202602240002
Дата опубликования: 24.02.2026
Страница №6 из 18:
Увеличить