Официальное опубликование правовых актов
ОФИЦИАЛЬНОЕ ОПУБЛИКОВАНИЕ
Приказ Министерства градостроительства и архитектуры Пензенской области от 24.12.2025 № 23-1014
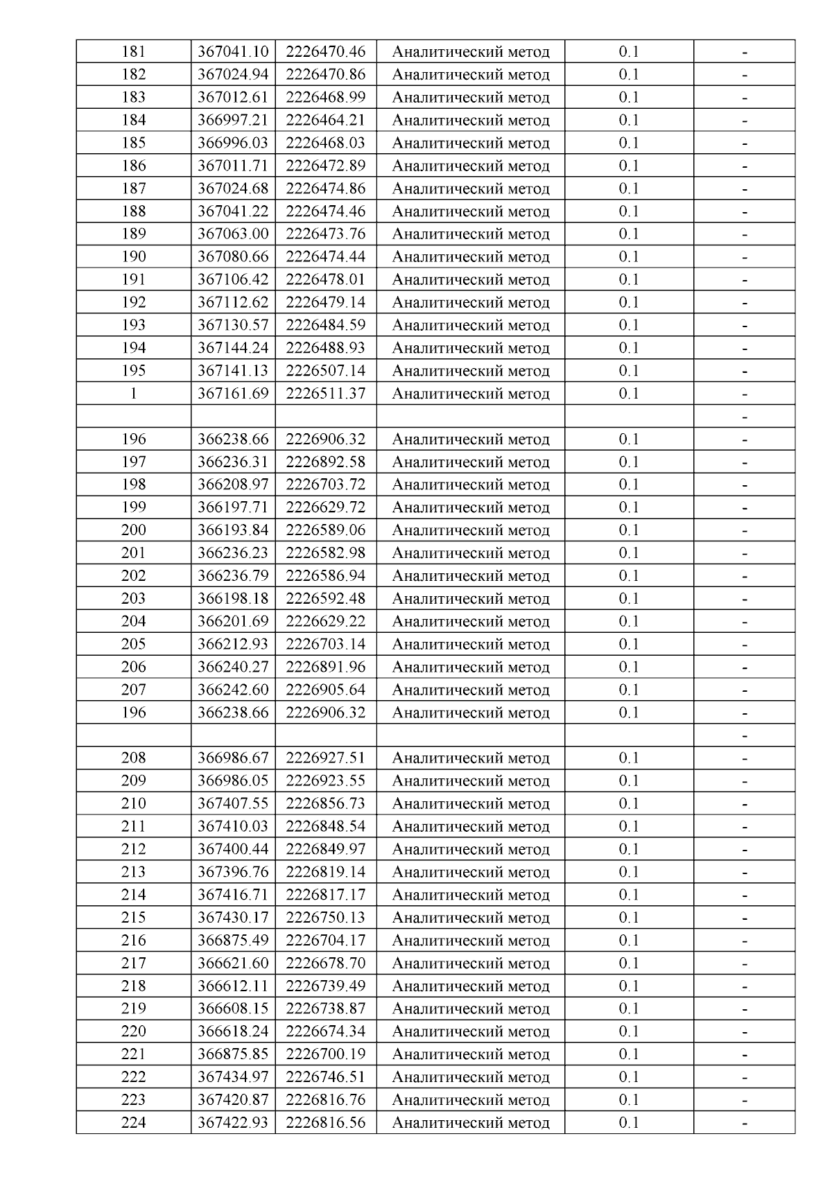
"О признании утратившим силу приказа Министерства строительства и жилищно-коммунального хозяйства Пензенской области от 30.07.2015 № 273/ОД и об утверждении границ охранной зоны существующего газопровода, протяженностью 9852 м, расположенной по адресу: Российская Федерация, Пензенская область, Пензенский район, с. Воскресеновка, и наложении ограничений (обременений) на входящие в нее земельные участки"
(Зарегистрирован 24.12.2025 № 23-1014)
Номер опубликования: 5801202512260012
Дата опубликования: 26.12.2025
Страница №9 из 16:
Увеличить