Официальное опубликование правовых актов
ОФИЦИАЛЬНОЕ ОПУБЛИКОВАНИЕ
Приказ Министерства градостроительства и архитектуры Пензенской области от 04.12.2025 № 23-870
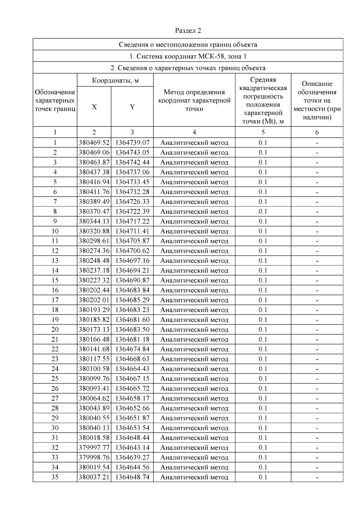
"Об утверждении границ охранной зоны существующего газопровода низкого давления, протяженностью 582 м, расположенного по адресу: Пензенская область, Каменский район, г. Каменка от точки врезки у дома №27 на ул. Комарова по ул. Комарова 3-43, и наложении ограничений (обременений) на входящие в нее земельные участки"
(Зарегистрирован 04.12.2025 № 23-870)
Номер опубликования: 5801202512080029
Дата опубликования: 08.12.2025
Страница №5 из 7:
Увеличить