Официальное опубликование правовых актов
ОФИЦИАЛЬНОЕ ОПУБЛИКОВАНИЕ
Приказ Министерства градостроительства и архитектуры Пензенской области от 05.12.2025 № 23-891
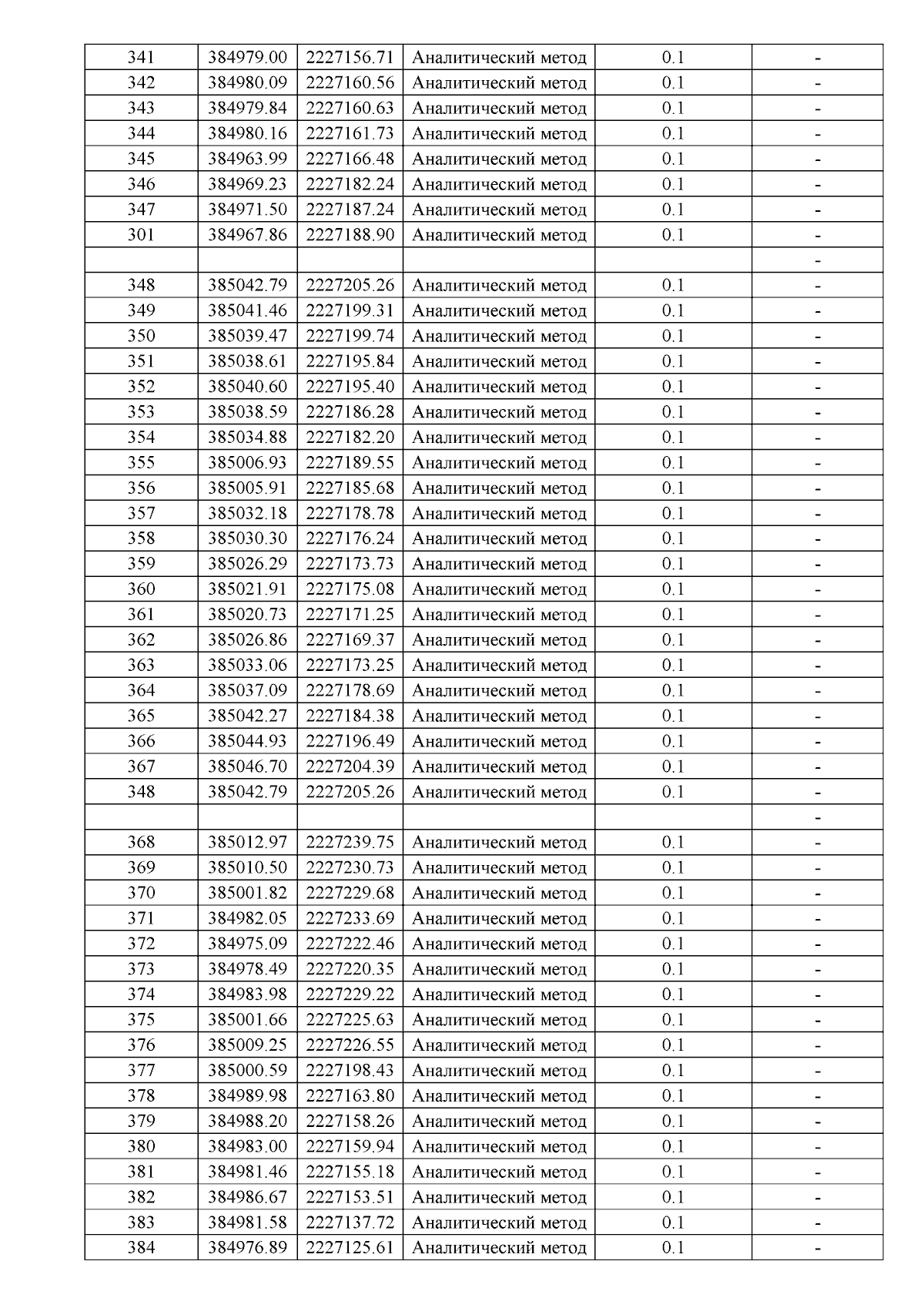
"О признании утратившим силу приказа Министерства градостроительства и архитектуры Пензенской области от 14.06.2024 № 23-266 и об утверждении границ охранной зоны существующего газопровода внутриквартальной сети газоснабжения, протяженностью 3469 м, расположенной по адресу: Российская Федерация, Пензенская область, город Пенза Внутриквартальная сеть газоснабжения по ул. Огарева, ул. Ладожская, ул. Рахманинова, ул. Щербакова, ул. Серпуховская, ул. Будашкина, 2-я часть 1-го комплекса 5-й очереди застройки 5 мкрн. Арбеково, ул. Есенина, ул. Серпуховская, ул. Онежская, пр. Громова 4-й, ул. Придорожная, ул. Маресьева, пр. Пестеля 4-й, ул. Мусоргского, пр. Строителей, ул. Ульяновская, ул. Кронштадтская, ул. Минская, и наложении ограничений (обременений) на входящие в нее земельные участки"
(Зарегистрирован 05.12.2025 № 23-891)
Номер опубликования: 5801202512080023
Дата опубликования: 08.12.2025
Страница №14 из 17:
Увеличить