Официальное опубликование правовых актов
ОФИЦИАЛЬНОЕ ОПУБЛИКОВАНИЕ
Приказ Министерства градостроительства и архитектуры Пензенской области от 25.09.2025 № 23-589
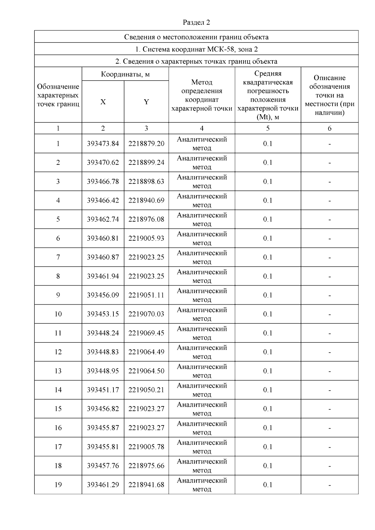
"Об утверждении границ охранной зоны существующего газопровода высокого и низкого давления, протяженностью 198 м, расположенного по адресу: Пензенская область, Бессоновский р-н, с. Мастиновка, и наложении ограничений (обременений) на входящие в нее земельные участки"
(Зарегистрирован 25.09.2025 № 23-589)
Номер опубликования: 5801202510010016
Дата опубликования: 01.10.2025
Страница №5 из 6:
Увеличить