Официальное опубликование правовых актов
ОФИЦИАЛЬНОЕ ОПУБЛИКОВАНИЕ
Приказ Министерства градостроительства и архитектуры Пензенской области от 27.02.2025 № 23-62
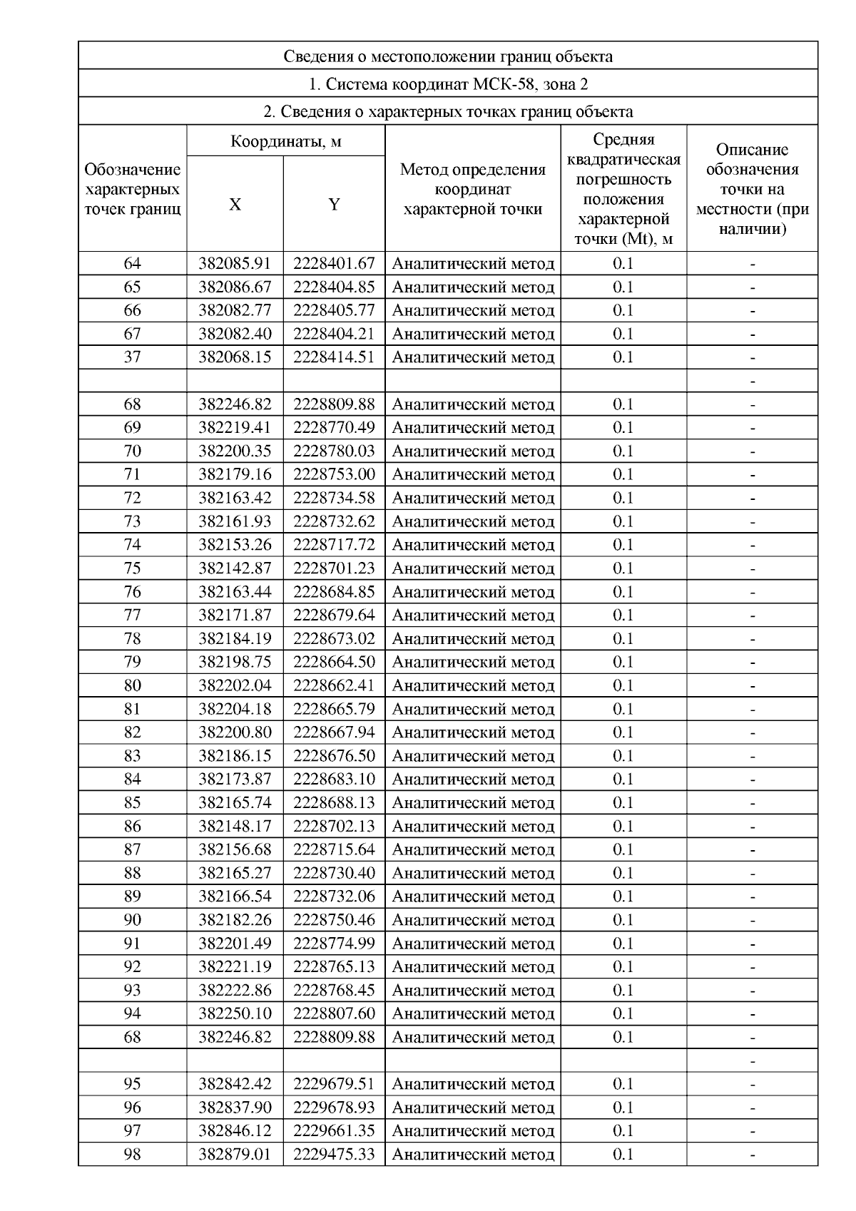
"О признании утратившим силу приказа Министерства градостроительства и архитектуры Пензенской области от 03.05.2023 № 23-99 и об утверждении границ охранной зоны существующей внутриквартальной сети газоснабжения по ул. Сурская, ул. Угловая, ул. Суворова, ул. Урицкого, ул. Дарвина, ул. 8 Марта, ул. Кирова, ул. Славы, ул. Карпинского, ул. Короленко, ул. Толстого, ул. Ново-Гражданская, ул. Локомотивная, ул. Касаткина, пер. Транспортный, ул. Московская, ул. Тимирязева, ул. Злобина, ул. Ерик, ул. Тухачевского, ул. Бакунина, ул. Некрасова, ул. Кураева, ул. Огарева, ул. Привокзальная, ул. Либерсона, ул. Набережная, ул. Новый Кавказ, ул. Пугачева, ул. Боевая Гора, ул. Тухачевского, ул. Бекешская, ул. Набережная реки Пензы, ул. Красная, ул. Железнодорожная, протяженностью 9350 м, расположенной по адресу: Пензенская область, г. Пенза, и наложении ограничений (обременений) на входящие в нее земельные участки"
(Зарегистрирован 27.02.2025 № 23-62)
Номер опубликования: 5801202503040003
Дата опубликования: 04.03.2025
Страница №8 из 34:
Увеличить