Официальное опубликование правовых актов
ОФИЦИАЛЬНОЕ ОПУБЛИКОВАНИЕ
Приказ Министерства по охране памятников истории и культуры Пензенской области от 21.01.2025 № 30-34
"Об установлении зон охраны объекта культурного наследия регионального значения "Дом жилой усадьбы купца И.Е. Мартышкина" (Пензенская область, г. Пенза, ул. Красная, 70) и утверждении требований к градостроительным регламентам в границах территории данных зон"
(Зарегистрирован 21.01.2025 № 30-34)
Номер опубликования: 5801202501220012
Дата опубликования: 22.01.2025
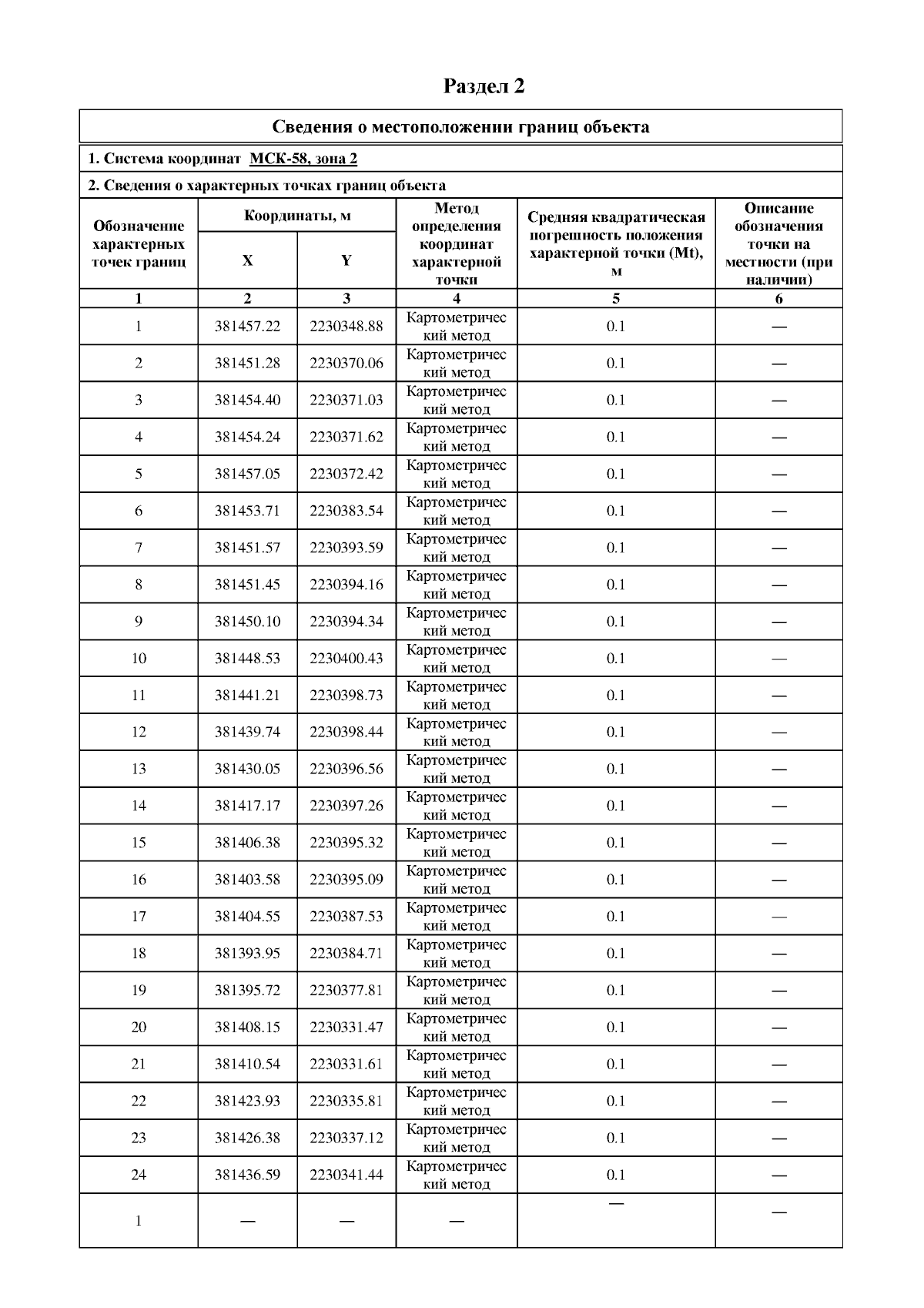
Страница №14 из 22:
Увеличить