Официальное опубликование правовых актов
ОФИЦИАЛЬНОЕ ОПУБЛИКОВАНИЕ
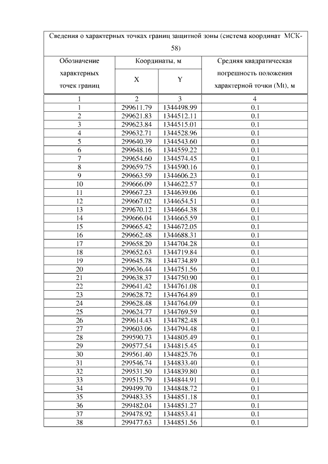
Приказ Комитета Пензенской области по охране памятников истории и культуры от 06.02.2019 № 14-ОД
"Об утверждении графического описания местоположения границ защитной зоны объекта культурного наследия"
Номер опубликования: 5801201902070005
Дата опубликования: 07.02.2019
Страница №3 из 6:
Увеличить