Официальное опубликование правовых актов
ОФИЦИАЛЬНОЕ ОПУБЛИКОВАНИЕ
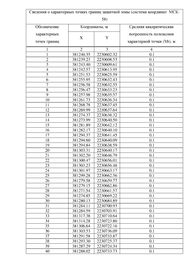
Приказ Комитета Пензенской области по охране памятников истории и культуры от 03.12.2018 № 172-ОД
"Об утверждении графического описания местоположения границ защитной зоны объекта культурного наследия"
Номер опубликования: 5801201812060010
Дата опубликования: 06.12.2018
Страница №3 из 7:
Увеличить