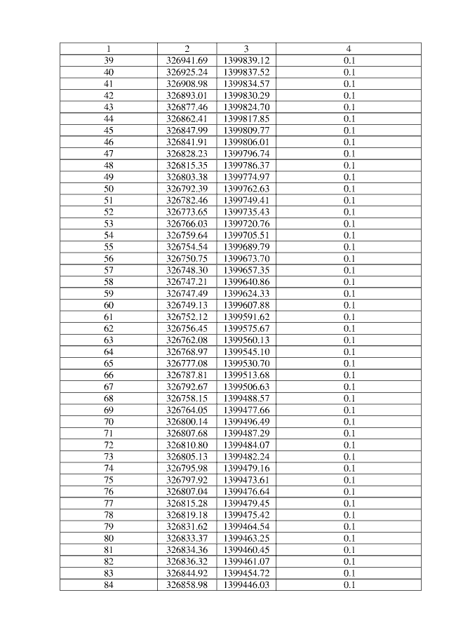
Приказ Комитета Пензенской области по охране памятников истории и культуры от 12.11.2018 № 111-ОД
"Об утверждении графического описания местоположения границ защитной зоны объекта культурного наследия"
"Об утверждении графического описания местоположения границ защитной зоны объекта культурного наследия"
Номер опубликования: 5801201811150011
Дата опубликования:
15.11.2018
