Официальное опубликование правовых актов
ОФИЦИАЛЬНОЕ ОПУБЛИКОВАНИЕ
Приказ Департамента градостроительства и архитектуры Пензенской области от 18.10.2018 № 89/ОД
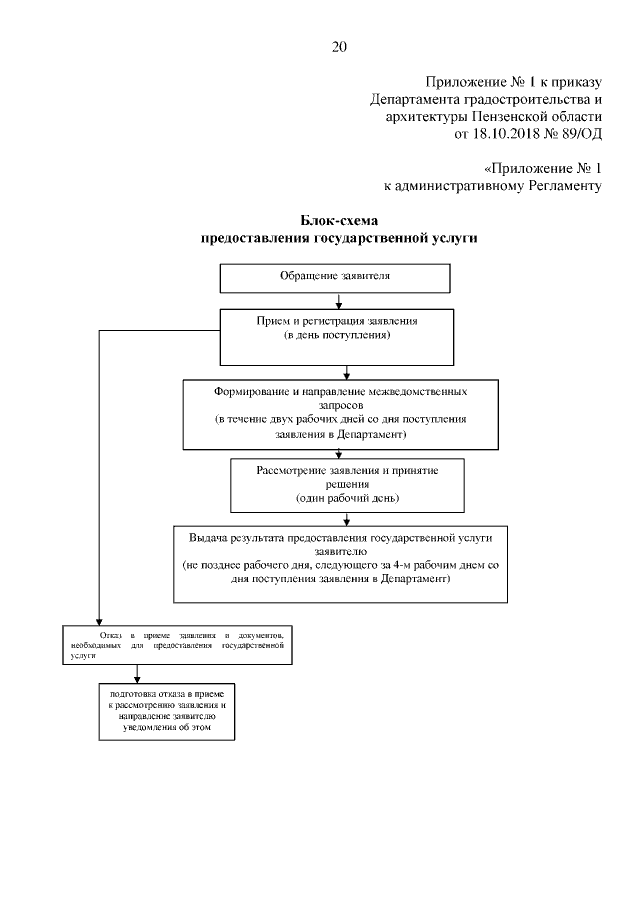
"О внесении изменений в Административный регламент предоставления Департаментом градостроительства и архитектуры Пензенской области государственной услуги: "Выдача разрешений на строительство в случае, если строительство объекта капитального строительства планируется осуществлять на территориях двух и более муниципальных образований (муниципальных районов, городских округов), и в случае реконструкции объекта капитального строительства, расположенного на территориях двух и более муниципальных образований (муниципальных районов, городских округов)", утвержденный приказом Департамента градостроительства и архитектуры Пензенской области от 15.06.2017 г № 48/ОД (с последующими изменениями)"
Номер опубликования: 5801201810220012
Дата опубликования: 22.10.2018
Страница №20 из 21:
Увеличить