Официальное опубликование правовых актов
ОФИЦИАЛЬНОЕ ОПУБЛИКОВАНИЕ
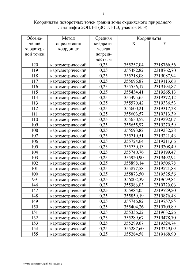
Постановление Правительства Пензенской области от 22.08.2018 № 441-пП
"Об утверждении границ зон охраны, режимов использования земель и требований к градостроительным регламентам в границах данных зон объекта культурного наследия федерального значения "Церковь Рождества Христова", 1724 г. (Пензенская область, Кузнецкий район, с. Нижнее Аблязово, ул. Садовая, д. 46)"
Номер опубликования: 5800201808240002
Дата опубликования: 24.08.2018
Страница №13 из 24:
Увеличить