Официальное опубликование правовых актов
ОФИЦИАЛЬНОЕ ОПУБЛИКОВАНИЕ
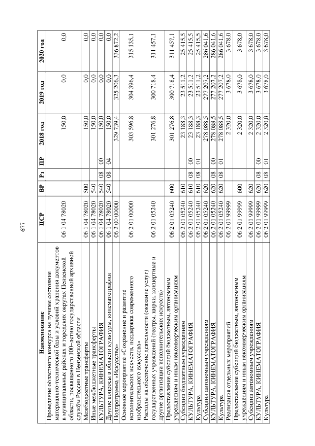
Закон Пензенской области от 28.06.2018 № 3193-ЗПО
"О внесении изменений в Закон Пензенской области "О бюджете Пензенской области на 2018 год и на плановый период 2019 и 2020 годов"
Номер опубликования: 5800201806290011
Дата опубликования: 29.06.2018
Страница №677 из 901:
Увеличить