Официальное опубликование правовых актов
ОФИЦИАЛЬНОЕ ОПУБЛИКОВАНИЕ
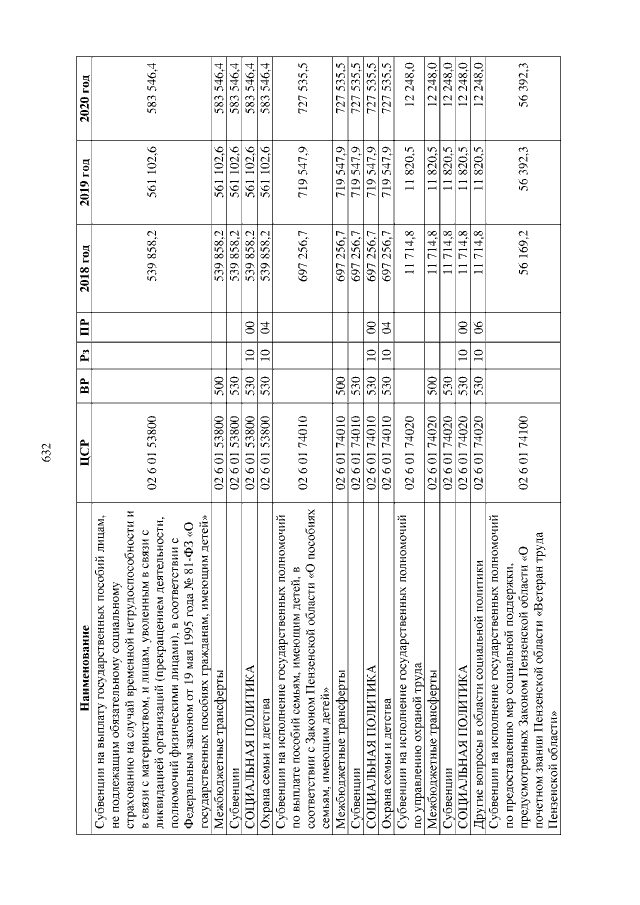
Закон Пензенской области от 28.04.2018 № 3177-ЗПО
"О внесении изменений в Закон Пензенской области "О бюджете Пензенской области на 2018 год и на плановый период 2019 и 2020 годов"
Номер опубликования: 5800201805030009
Дата опубликования: 03.05.2018
Страница №632 из 883:
Увеличить