Официальное опубликование правовых актов
ОФИЦИАЛЬНОЕ ОПУБЛИКОВАНИЕ
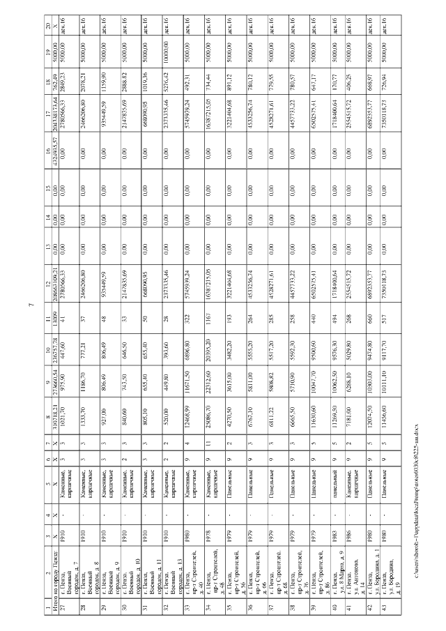
Постановление Правительства Пензенской области от 16.04.2018 № 225-пП
"О внесении изменений в Краткосрочный план реализации региональной программы капитального ремонта общего имущества в многоквартирных домах, расположенных на территории Пензенской области, на 2015 - 2016 годы, утвержденный постановлением Правительства Пензенской области от 26.12.2014 № 920-пП (с последующими изменениями)"
Номер опубликования: 5800201804190002
Дата опубликования: 19.04.2018
Страница №8 из 26:
Увеличить