Официальное опубликование правовых актов
ОФИЦИАЛЬНОЕ ОПУБЛИКОВАНИЕ
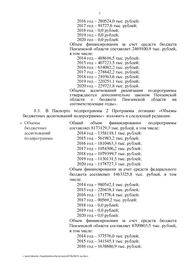
Постановление Правительства Пензенской области от 30.12.2016 № 674-пП
"О внесении изменений в государственную программу Пензенской области "Развитие здравоохранения Пензенской области на 2014–2020 годы", утвержденную постановлением Правительства Пензенской области от 02.10.2013 № 743-пП (с последующими изменениями)"
Номер опубликования: 5800201701030016
Дата опубликования: 03.01.2017
Страница №3 из 82:
Увеличить