Официальное опубликование правовых актов
ОФИЦИАЛЬНОЕ ОПУБЛИКОВАНИЕ
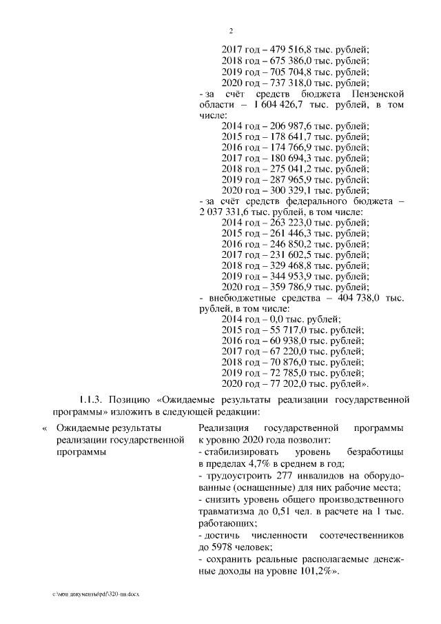
Постановление Правительства Пензенской области от 24.06.2016 № 320-пП
"О внесении изменений в государственную программу Пензенской области "Содействие занятости населения в Пензенской области", утвержденную постановлением Правительства Пензенской области от 08.10.2013 № 752-пП (с последующими изменениями)"
Номер опубликования: 5800201606280003
Дата опубликования: 28.06.2016
Страница №2 из 53:
Увеличить