Официальное опубликование правовых актов
ОФИЦИАЛЬНОЕ ОПУБЛИКОВАНИЕ
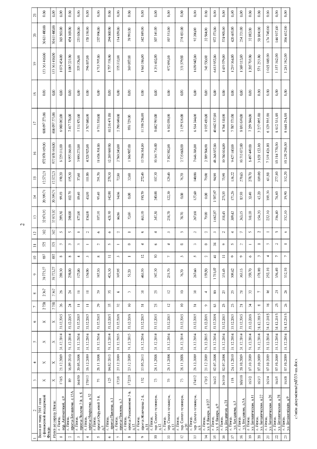
Постановление Правительства Пензенской области от 02.02.2016 № 53-пП
"О внесении изменений в региональную адресную программу "Переселение граждан из аварийного жилищного фонда на территории Пензенской области в 2013–2017 годах", утвержденную постановлением Правительства Пензенской области от 09.04.2013 № 232-пП (с последующими изменениями)"
Номер опубликования: 5800201602050007
Дата опубликования: 05.02.2016
Страница №7 из 34:
Увеличить