Официальное опубликование правовых актов
ОФИЦИАЛЬНОЕ ОПУБЛИКОВАНИЕ
Постановление Губернатора Пензенской области от 25.11.2015 № 151
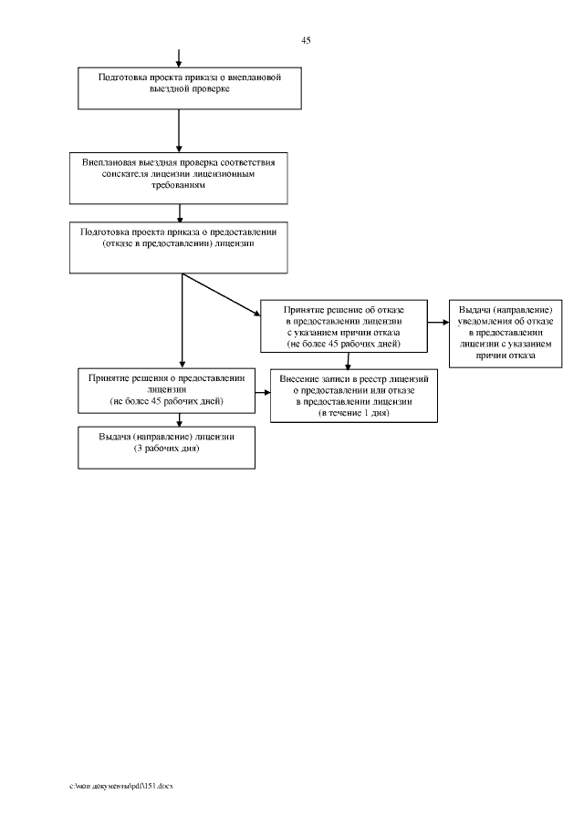
"Об утверждении Административного регламента Министерства здравоохранения Пензенской области по предоставлению государственной услуги "Лицензирование деятельности по обороту наркотических средств, психотропных веществ и их прекурсоров, культивированию наркосодержащих растений (в части деятельности по обороту наркотических средств и психотропных веществ, внесенных в списки I, II и III перечня наркотических средств, психотропных веществ и их прекурсоров, подлежащих контролю в Российской Федерации, за исключением деятельности, осуществляемой организациями оптовой торговли лекарственными средствами и аптечными организациями, подведомственными федеральным органам исполнительной власти)"
Номер опубликования: 5800201512020023
Дата опубликования: 02.12.2015
Страница №47 из 51:
Увеличить