Официальное опубликование правовых актов
ОФИЦИАЛЬНОЕ ОПУБЛИКОВАНИЕ
Постановление Губернатора Пензенской области от 25.11.2015 № 148
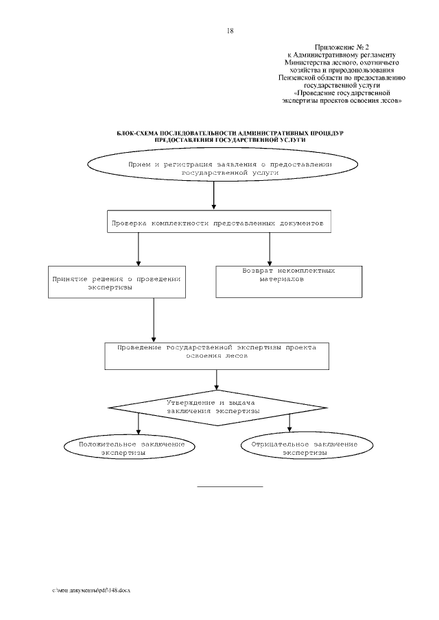
"Об утверждении Административного регламента Министерства лесного, охотничьего хозяйства и природопользования Пензенской области по предоставлению государственной услуги "Проведение государственной экспертизы проектов освоения лесов"
Номер опубликования: 5800201512020021
Дата опубликования: 02.12.2015
Страница №20 из 20:
Увеличить