Официальное опубликование правовых актов
ОФИЦИАЛЬНОЕ ОПУБЛИКОВАНИЕ
Постановление Правительства Пензенской области от 23.11.2015 № 653-пП
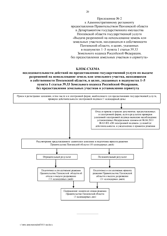
"Об утверждении Административного регламента предоставления Правительством Пензенской области и Департаментом государственного имущества Пензенской области государственной услуги "Выдача разрешения на использование земель или земельных участков, находящихся в собственности Пензенской области, в целях, указанных в подпунктах 1–5 пункта 1 статьи 39.33 Земельного кодекса Российской Федерации, без предоставления земельных участков и установления сервитута"
Номер опубликования: 5800201511300008
Дата опубликования: 30.11.2015
Страница №22 из 22:
Увеличить