Официальное опубликование правовых актов
ОФИЦИАЛЬНОЕ ОПУБЛИКОВАНИЕ
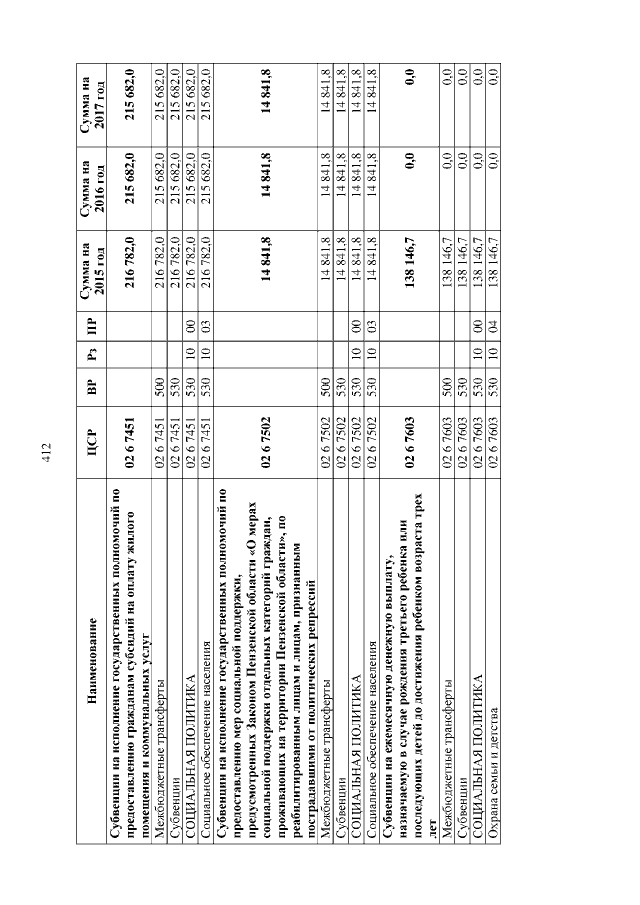
Закон Пензенской области от 27.11.2015 № 2823-ЗПО
"О внесении изменений в Закон Пензенской области "О бюджете Пензенской области на 2015 год и на плановый период 2016 и 2017 годов"
Номер опубликования: 5800201511300005
Дата опубликования: 30.11.2015
Страница №412 из 646:
Увеличить