Официальное опубликование правовых актов
ОФИЦИАЛЬНОЕ ОПУБЛИКОВАНИЕ
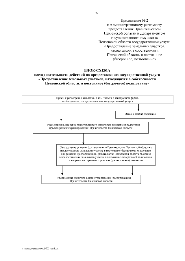
Постановление Правительства Пензенской области от 23.11.2015 № 652-пП
"Об утверждении Административного регламента предоставления Правительством Пензенской области и Департаментом государственного имущества Пензенской области государственной услуги "Предоставление земельных участков, находящихся в собственности Пензенской области, в постоянное (бессрочное) пользование"
Номер опубликования: 5800201511300004
Дата опубликования: 30.11.2015
Страница №24 из 24:
Увеличить