Официальное опубликование правовых актов
ОФИЦИАЛЬНОЕ ОПУБЛИКОВАНИЕ
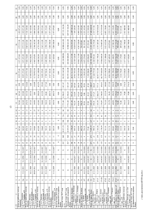
Постановление Правительства Пензенской области от 20.10.2015 № 580-пП
"О внесении изменений в региональную адресную программу "Переселение граждан из аварийного жилищного фонда на территории Пензенской области в 2013–2017 годах", утвержденную постановлением Правительства Пензенской области от 09.04.2013 № 232-пП (с последующими изменениями)"
Номер опубликования: 5800201510220005
Дата опубликования: 22.10.2015
Страница №19 из 30:
Увеличить