Официальное опубликование правовых актов
ОФИЦИАЛЬНОЕ ОПУБЛИКОВАНИЕ
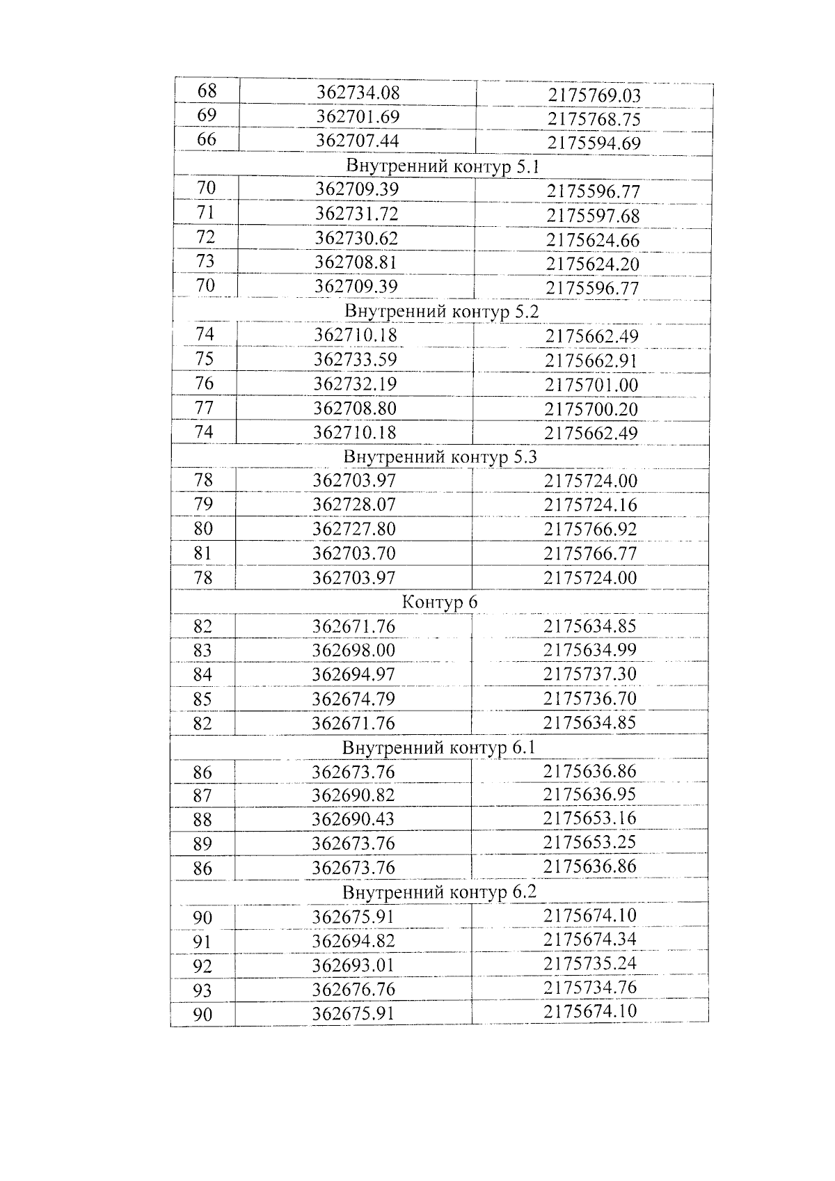
Приказ Управления по государственной охране объектов культурного наследия Орловской области от 02.10.2024 № 182
"Об утверждении границ территории и правового режима использования территории объекта культурного наследия регионального историко-культурного значения "Комплекс сельскохозяйственной станции", 1896 - 1903 гг., расположенного по адресу: Орловская область, Новодеревеньковский район Суровский с/с, п. Шатилово"
(Зарегистрирован 07.10.2024 № 514/2024)
Номер опубликования: 5701202410100022
Дата опубликования: 10.10.2024
Страница №14 из 17:
Увеличить