Официальное опубликование правовых актов
ОФИЦИАЛЬНОЕ ОПУБЛИКОВАНИЕ
Приказ Департамента социальной защиты, опеки и попечительства, труда и занятости Орловской области от 05.07.2024 № 597
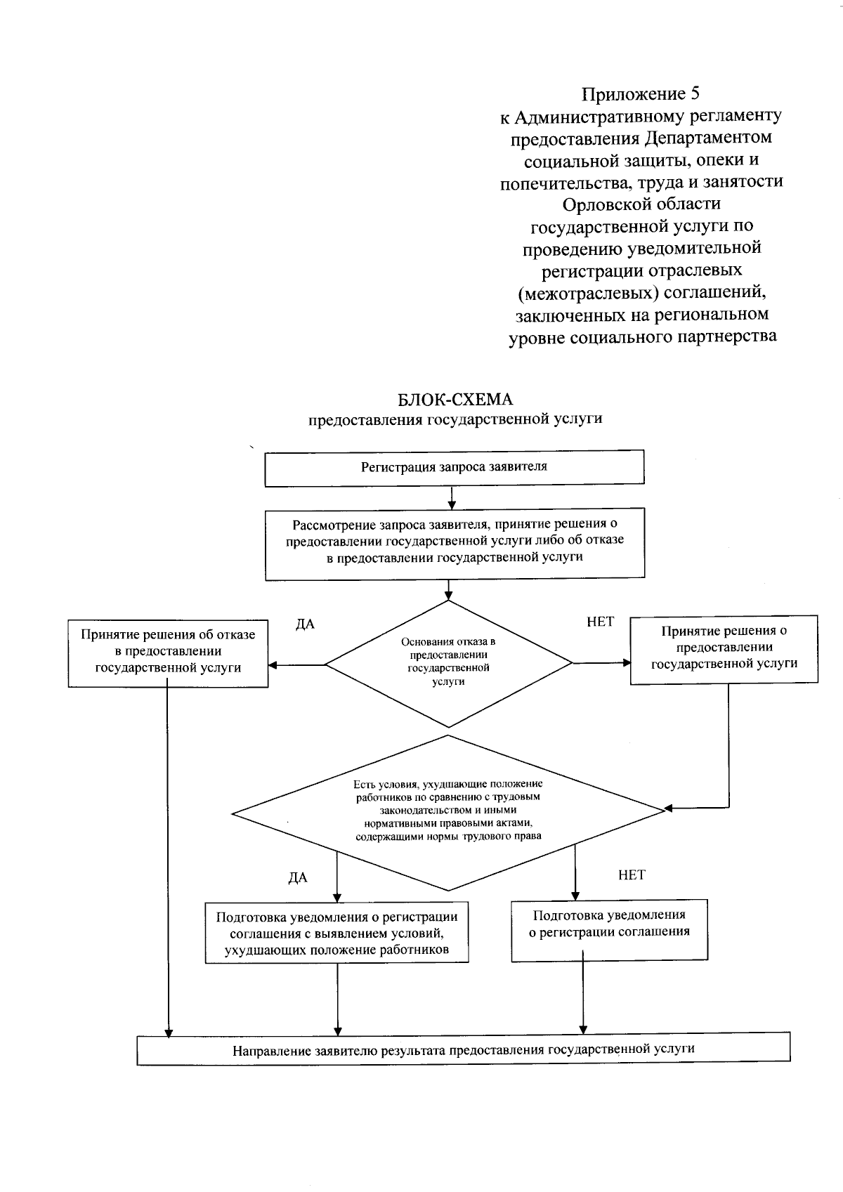
"О внесении изменений в приказ Департамента социальной защиты, опеки и попечительства, труда и занятости Орловской области от 30 октября 2019 года № 588 "Об утверждении административного регламента предоставления Департаментом социальной защиты, опеки и попечительства, труда и занятости Орловской области государственной услуги по проведению уведомительной регистрации отраслевых (межотраслевых) соглашений, заключенных на региональном уровне социального партнерства"
(Зарегистрирован 05.07.2024 № 287/2024)
Номер опубликования: 5701202407080002
Дата опубликования: 08.07.2024
Страница №27 из 27:
Увеличить