Официальное опубликование правовых актов
ОФИЦИАЛЬНОЕ ОПУБЛИКОВАНИЕ
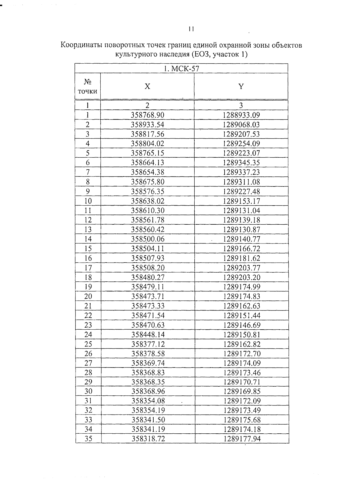
Постановление Правительства Орловской области от 22.04.2026 № 243
"Об установлении объединенной зоны охраны объектов культурного наследия регионального историко-культурного значения: "Памятник Ленину В.И.", 1949 г., 1961 г., расположенного по адресу: Орловская область, г. Орёл, пл. Ленина, "Здание Дома Советов", 1956–1961 гг., расположенного по адресу: Орловская область, г. Орёл, пл. Ленина, 1, "Здание областного драматического театра им. И.С. Тургенева", 1975 г., расположенного по адресу: Орловская область, г. Орёл, пл. Ленина, 2, "Здание бывшего депо готового платья", XIX в., расположенного по адресу: Орловская область, г. Орёл, ул. Ленина, 2; "Здание городского училища", XIX в., расположенного по адресу: Орловская область, г. Орёл, ул. Ленина, 6, "Дом жилой", XIX в., расположенного по адресу: Орловская область, г. Орёл, ул. Ленина, 8, "Дом жилой", XIX в., расположенного по адресу: Орловская область, г. Орёл, ул. Ленина, 10, "Дом жилой", XIX в., расположенного по адресу: Орловская область, г. Орёл, ул. Ленина, 13, "Дом жилой", XIX в., расположенного по адресу: Орловская область, г. Орёл, ул. Ленина, 15, "Дом жилой", XIX в., расположенного по адресу: Орловская область, г. Орёл, ул. Ленина, 16/20, "Дом жилой", XIX в., расположенного по адресу: Орловская область, г. Орёл, ул. Ленина, 17, "Здание бывшей гостиницы Е. К. Иордан", XIX в., расположенного по адресу: Орловская область, г. Орёл, ул. Ленина, 19/2, "Дом жилой", XIX в., расположенного по адресу: Орловская область, г. Орёл, Советский район, ул. Ленина, 21, "Кинотеатр "Победа", 1951 г., расположенного по адресу: Орловская область, г. Орёл, ул. Ленина, 22, "Дом жилой", XIX в., расположенного по адресу: Орловская область, г. Орёл, ул. Ленина, 23, "Дом жилой", XIX в., расположенного по адресу: Орловская область, г. Орёл, ул. Ленина, 24, "Дом жилой", XIX в., расположенного по адресу: Орловская область, г. Орёл, ул. Ленина, 25, "Дом жилой", XIX в., расположенного по адресу: Орловская область, г. Орёл, ул. Ленина, 25а, "Дом жилой", XIX в., расположенного по адресу: Орловская область, г. Орёл, ул. Ленина, 26, "Дом жилой", XIX в., расположенного по адресу: Орловская область, г. Орёл, ул. Ленина, 28, "Дом жилой", XIX в., расположенного по адресу: Орловская область, г. Орёл, Советский район, ул. Ленина, дом 32-34, "Дом жилой", XIX в., расположенного по адресу: Орловская область, г. Орёл, ул. Ленина, 32-34, "Дом жилой", XIX в., расположенного по адресу: Орловская область, г. Орёл, ул. Ленина, д. 37, "Дом жилой", XIX в., расположенного по адресу: Орловская область, г. Орёл, ул. Ленина, 37а, "Главпочтамт", 1950–1951 гг., расположенного по адресу: Орловская область, г. Орёл, ул. Ленина, 43, "Дом купца Калабухова", XIX в., расположенного по адресу: Орловская область, г. Орёл, ул. Ленина, 45, "Дом жилой", XIX в., расположенного по адресу: Орловская область, г. Орёл, ул. Тургенева, 3, "Дом жилой", XIX в., расположенного по адресу: Орловская область, г. Орёл, ул. Тургенева, 4, "Дом жилой", XIX в., расположенного по адресу: Орловская область, г. Орёл, ул. Салтыкова-Щедрина, 24"
Номер опубликования: 5700202604220007
Дата опубликования: 22.04.2026
Страница №18 из 43:
Увеличить