Официальное опубликование правовых актов
ОФИЦИАЛЬНОЕ ОПУБЛИКОВАНИЕ
Постановление Правительства Орловской области от 24.12.2025 № 861
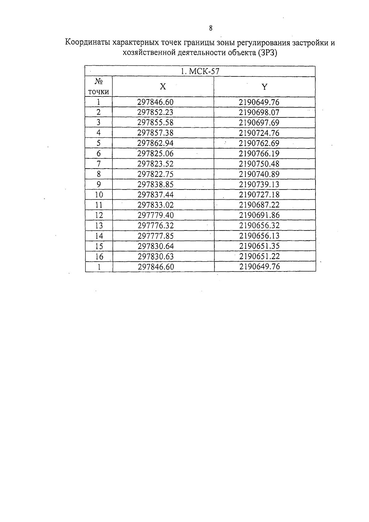
"Об установлении зон охраны объекта культурного наследия регионального историко-культурного значения "Дом жилой", XIX в., расположенного по адресу: Орловская область, г. Ливны, ул. Ленина, 29"
Номер опубликования: 5700202512250020
Дата опубликования: 25.12.2025
Страница №10 из 14:
Увеличить