Официальное опубликование правовых актов
ОФИЦИАЛЬНОЕ ОПУБЛИКОВАНИЕ
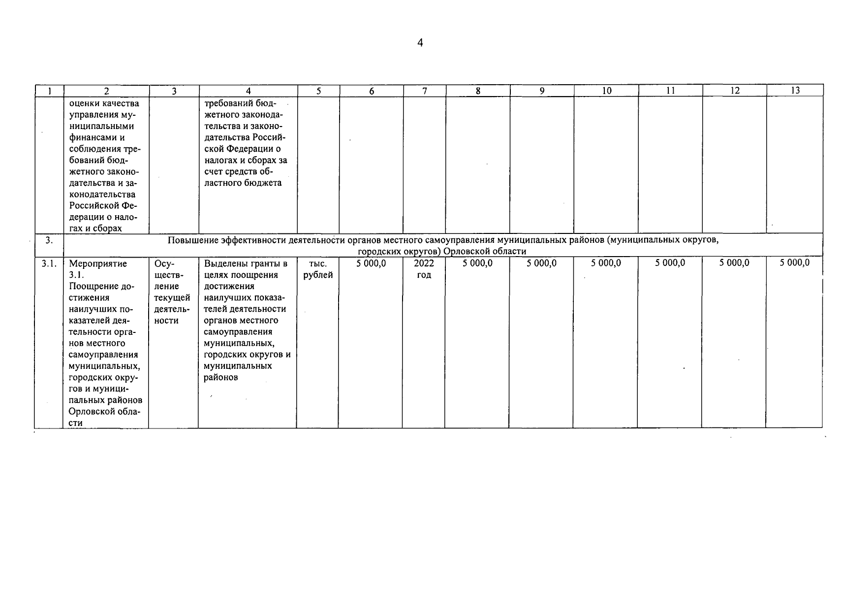
Постановление Правительства Орловской области от 23.12.2025 № 848
"О внесении изменений в постановление Правительства Орловской области от 30 сентября 2019 года № 553 "Об утверждении государственной программы Орловской области "Управление государственными финансами Орловской области"
Номер опубликования: 5700202512250019
Дата опубликования: 25.12.2025
Страница №11 из 17:
Увеличить