Официальное опубликование правовых актов
ОФИЦИАЛЬНОЕ ОПУБЛИКОВАНИЕ
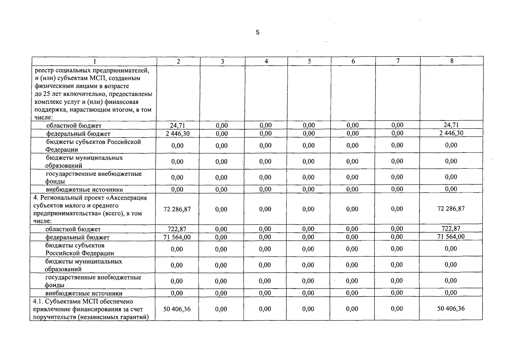
Постановление Правительства Орловской области от 13.08.2025 № 548
"О внесении изменений в постановление Правительства Орловской области от 9 сентября 2019 года № 508 "Об утверждении государственной программы Орловской области "Развитие предпринимательства и деловой активности в Орловской области"
Номер опубликования: 5700202508150004
Дата опубликования: 15.08.2025
Страница №7 из 30:
Увеличить