Официальное опубликование правовых актов
ОФИЦИАЛЬНОЕ ОПУБЛИКОВАНИЕ
Постановление Правительства Орловской области от 09.12.2024 № 797
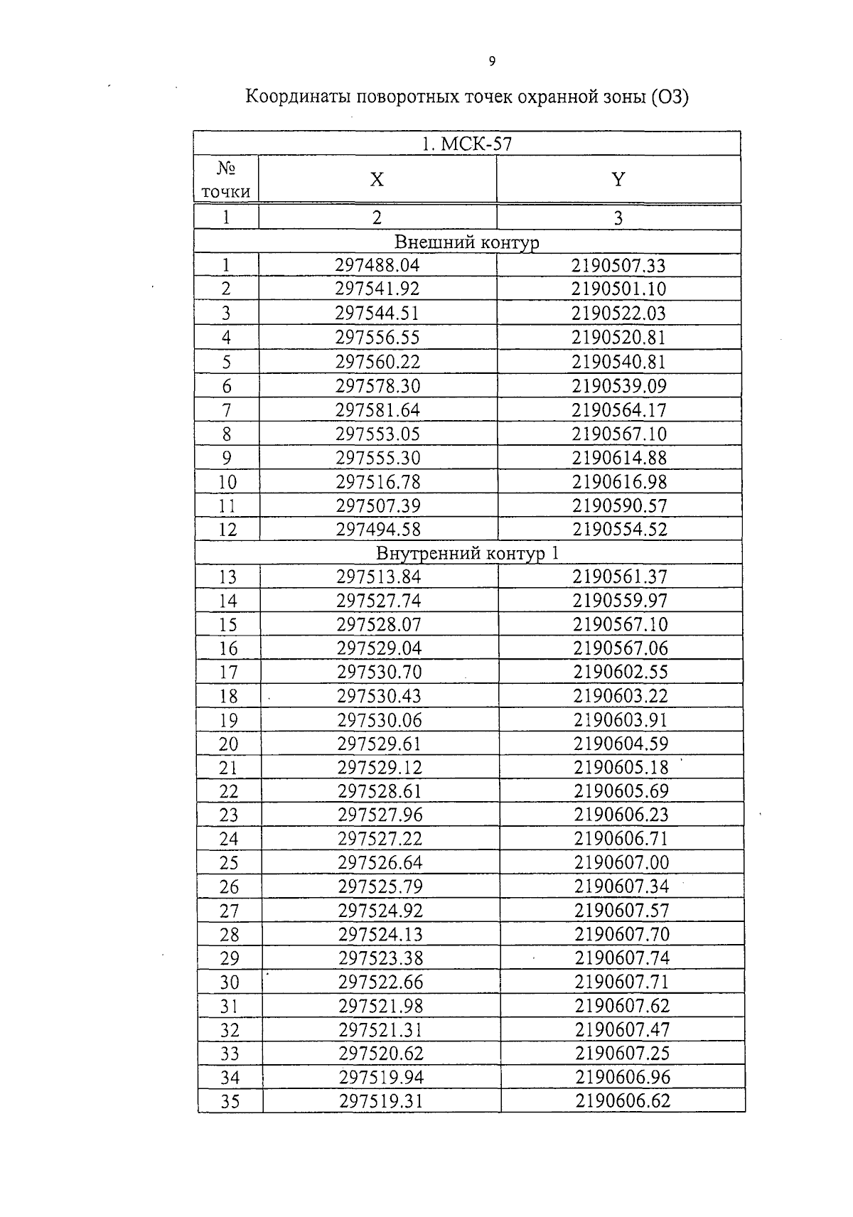
"Об установлении зон охраны объекта культурного наследия федерального историко-культурного значения "Церковь Сергия с колокольней", 1670 г., расположенного по адресу: Орловская область, г. Ливны, пл. Сергея Булгакова, 15"
Номер опубликования: 5700202412110004
Дата опубликования: 11.12.2024
Страница №11 из 23:
Увеличить