Официальное опубликование правовых актов
ОФИЦИАЛЬНОЕ ОПУБЛИКОВАНИЕ
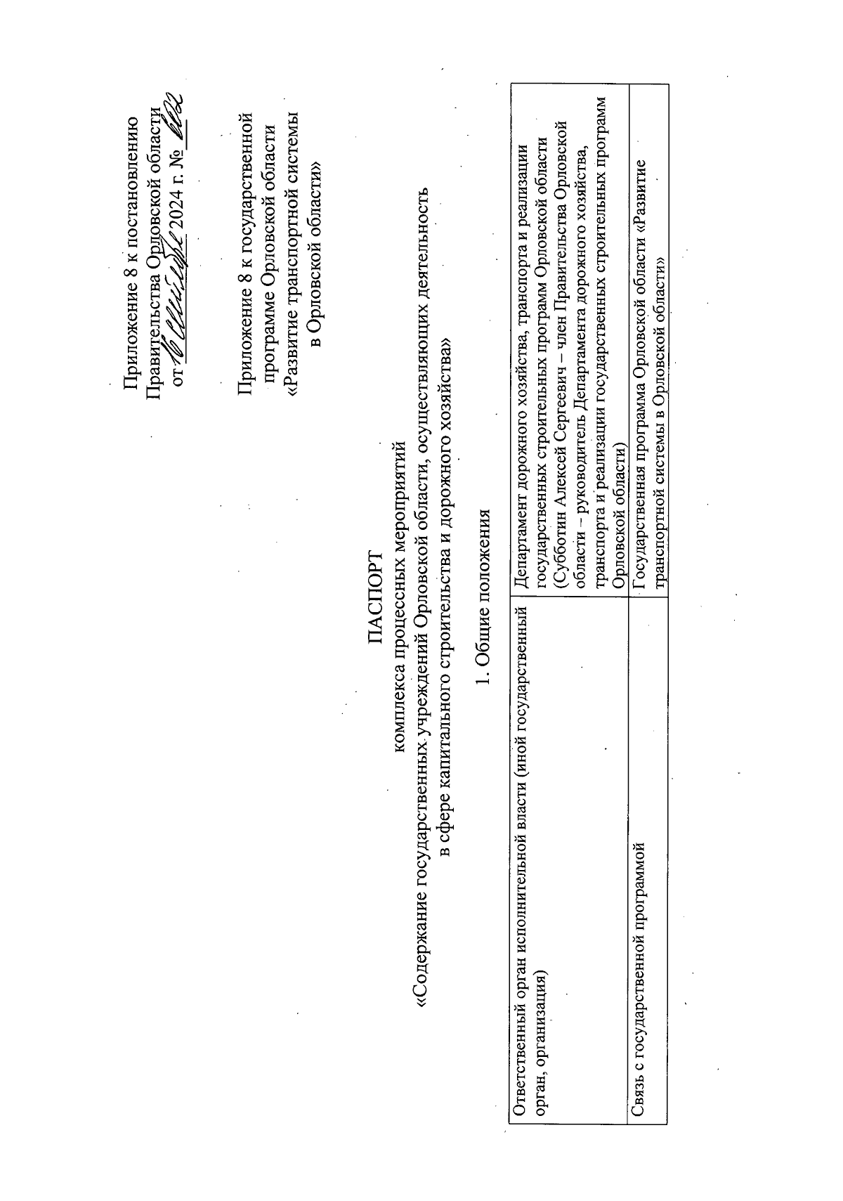
Постановление Правительства Орловской области от 16.09.2024 № 602
"О внесении изменений в постановление Правительства Орловской области от 15 января 2019 года № 8 "Об утверждении государственной программы Орловской области "Развитие транспортной системы в Орловской области"
Номер опубликования: 5700202409170002
Дата опубликования: 17.09.2024
Страница №106 из 117:
Увеличить