Официальное опубликование правовых актов
ОФИЦИАЛЬНОЕ ОПУБЛИКОВАНИЕ
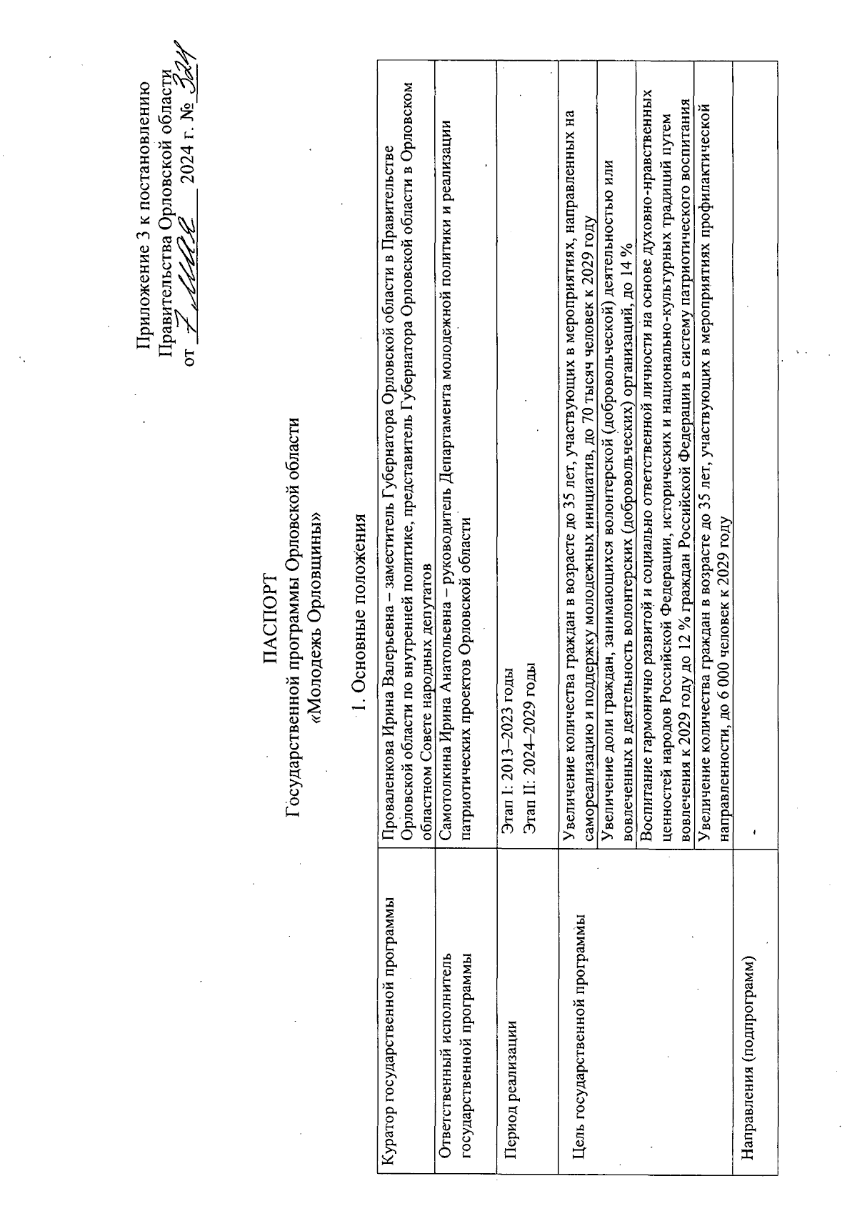
Постановление Правительства Орловской области от 07.05.2024 № 324
"О внесении изменений в постановление Правительства Орловской области от 30 августа 2019 года № 498 "Об утверждении государственной программы Орловской области "Молодежь Орловщины"
Номер опубликования: 5700202405080003
Дата опубликования: 08.05.2024
Страница №14 из 47:
Увеличить