Официальное опубликование правовых актов
ОФИЦИАЛЬНОЕ ОПУБЛИКОВАНИЕ
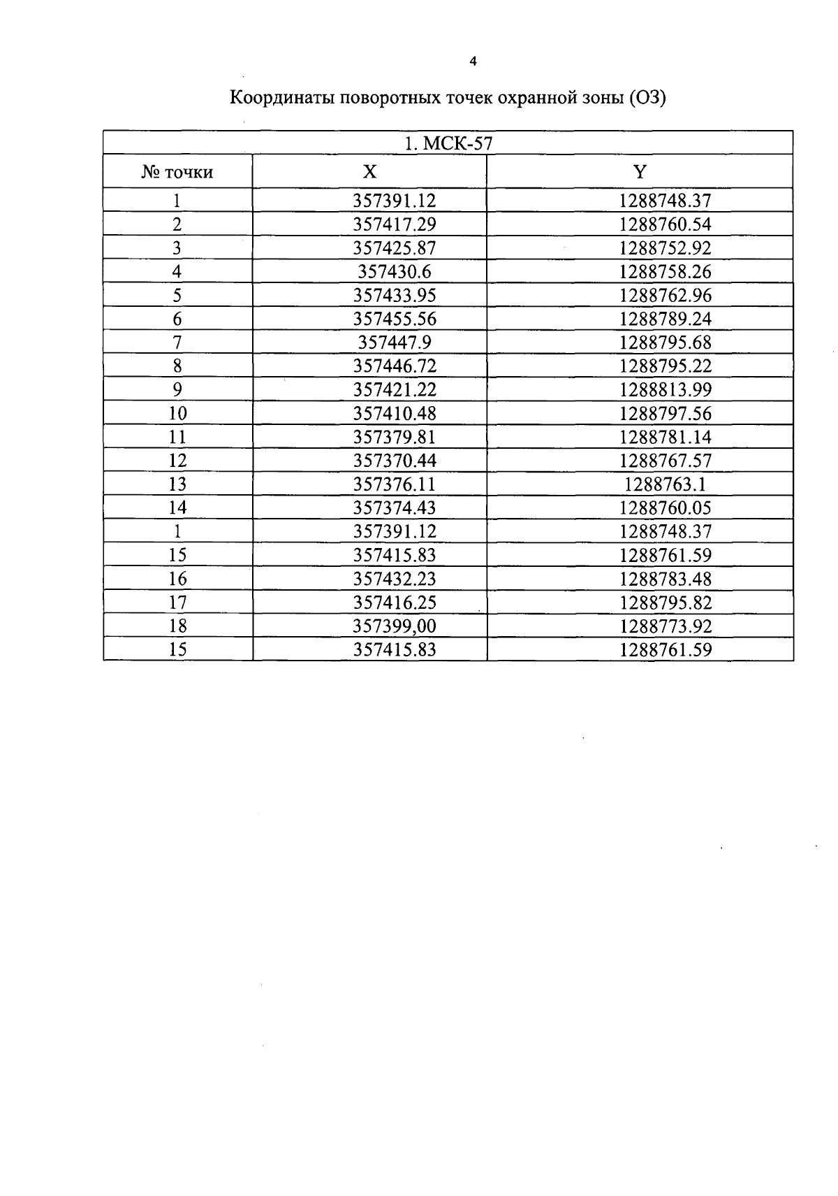
Постановление Правительства Орловской области от 01.02.2024 № 61
"Об установлении зон охраны объекта культурного наследия местного (муниципального) историко-культурного значения "Дом жилой" (конец XVIII – начало XIX вв.), расположенного по адресу: Орловская область, г. Орел, ул. Васильевская, д. 27"
Номер опубликования: 5700202402020008
Дата опубликования: 02.02.2024
Страница №6 из 9:
Увеличить