Официальное опубликование правовых актов
ОФИЦИАЛЬНОЕ ОПУБЛИКОВАНИЕ
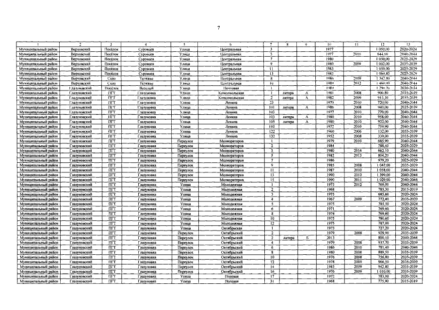
Постановление Правительства Орловской области от 20.01.2015 № 14
"О внесении изменений в постановление Правительства Орловской области от 31 декабря 2013 года № 482 "Об утверждении областной адресной программы "Капитальный ремонт общего имущества в многоквартирных домах на территории Орловской области"
Номер опубликования: 5700201501210011
Дата опубликования: 21.01.2015
Страница №15 из 100:
Увеличить