Официальное опубликование правовых актов
ОФИЦИАЛЬНОЕ ОПУБЛИКОВАНИЕ
Распоряжение Министерства архитектуры и пространственно-градостроительного развития Оренбургской области от 22.04.2026 № 22-р
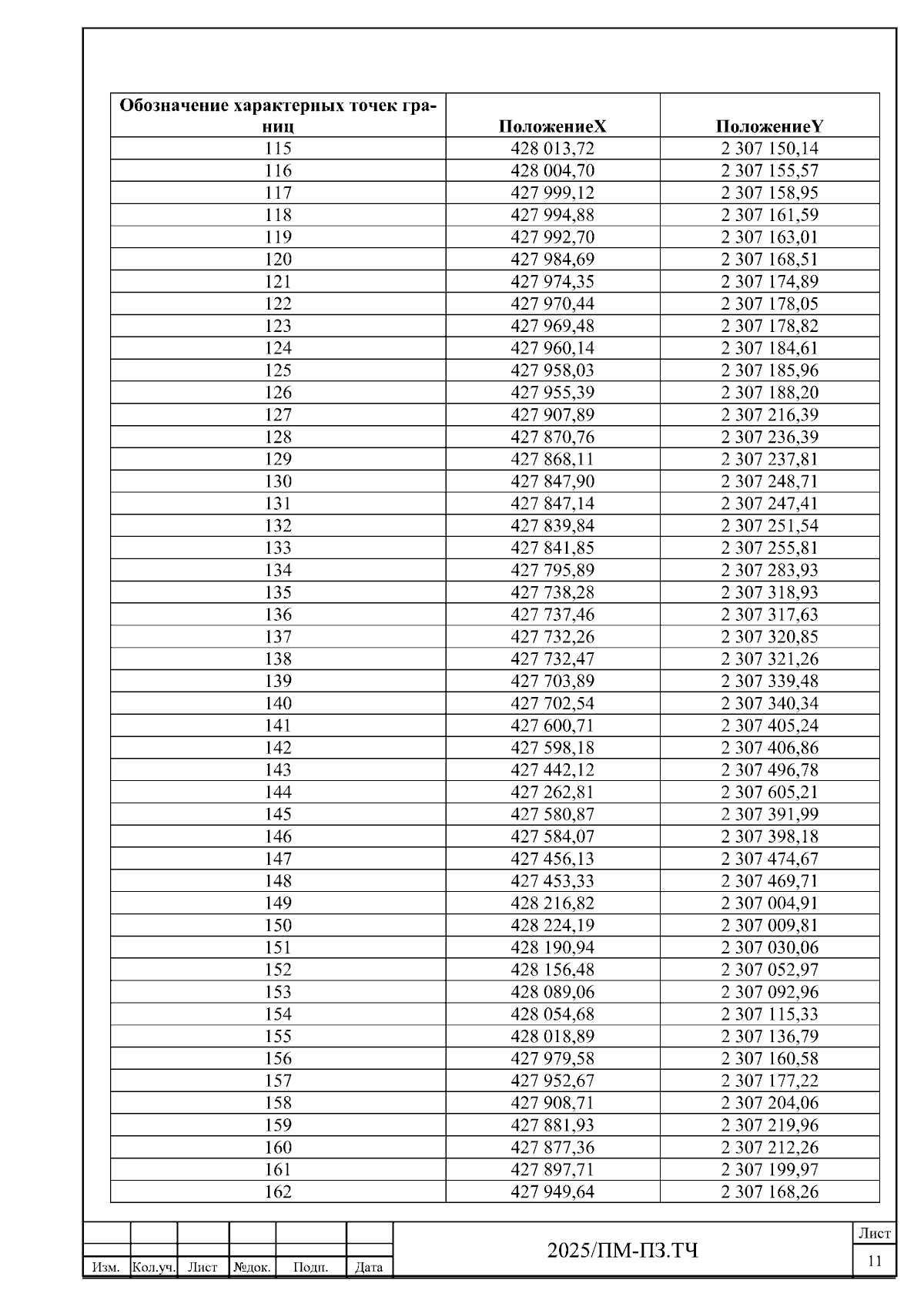
"Об утверждении документации по планировке территории: "Проект межевания территории, ограниченной улицей Степана Разина, улицей Чкалова, улицей Уральской, улицей Красной, площадью 22,12 га"
(Зарегистрирован 22.04.2026 № 0051/2026/02)
Номер опубликования: 5601202604220004
Дата опубликования: 22.04.2026
Страница №13 из 60:
Увеличить