Официальное опубликование правовых актов
ОФИЦИАЛЬНОЕ ОПУБЛИКОВАНИЕ
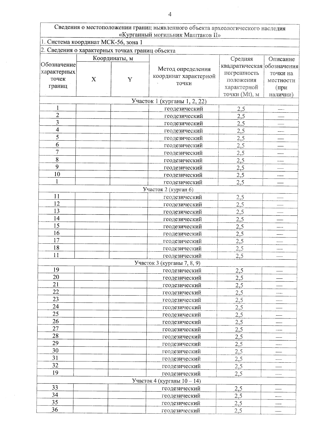
Приказ Инспекции государственной охраны объектов культурного наследия Оренбургской области от 23.09.2025 № 01-33-114
"О внесении изменения в приказ инспекции государственной охраны объектов культурного наследия Оренбургской области от 18.04.2024 № 01-08-162"
(Зарегистрирован 23.09.2025 № 0110/2025/22)
Номер опубликования: 5601202509290011
Дата опубликования: 29.09.2025
Страница №4 из 7: