Официальное опубликование правовых актов
ОФИЦИАЛЬНОЕ ОПУБЛИКОВАНИЕ
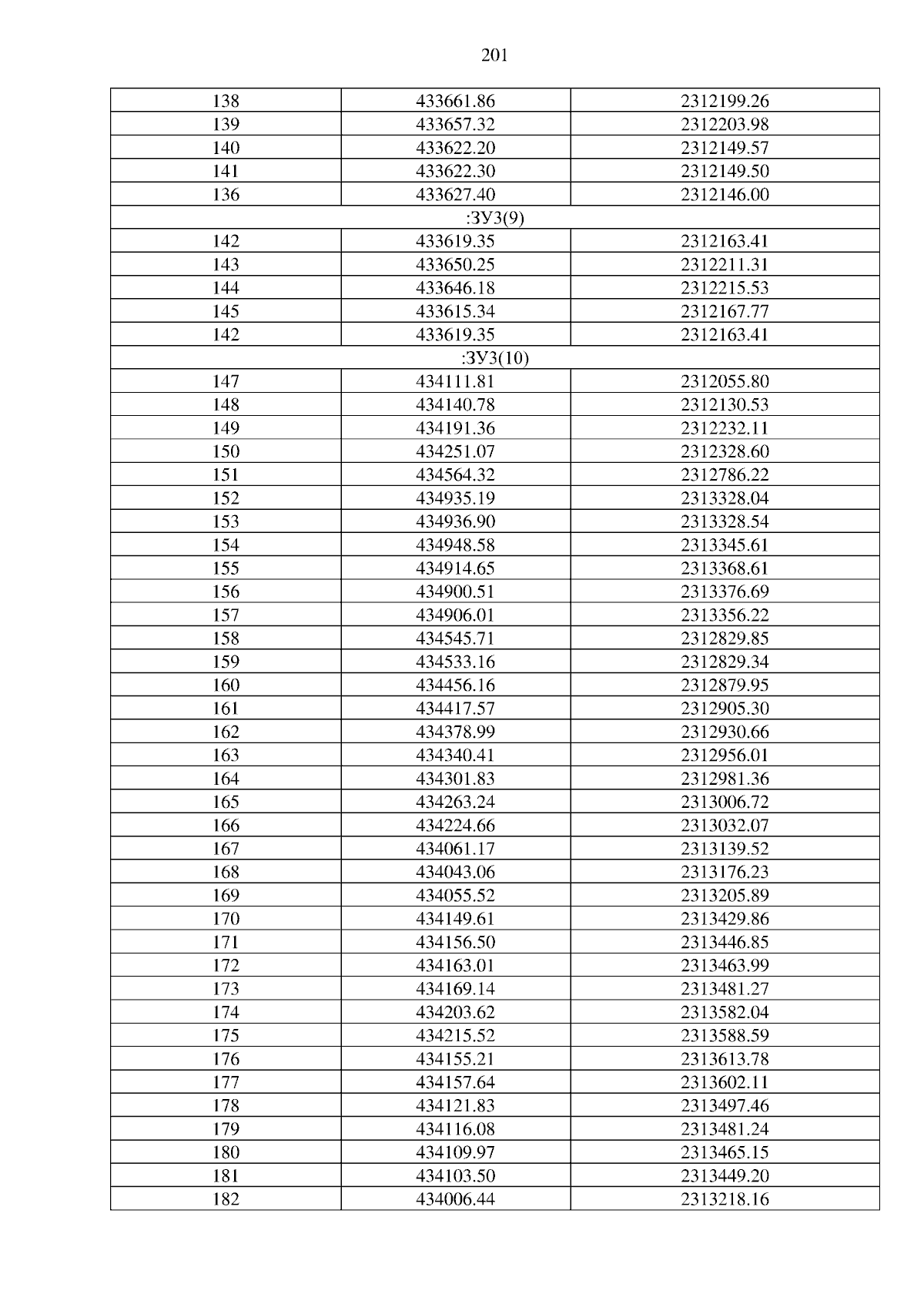
Распоряжение Министерства архитектуры и пространственно-градостроительного развития Оренбургской области от 20.06.2024 № 12-р
"Об утверждении проекта планировки и проекта межевания территории для размещения линейного объекта "Магистрали общегородского значения и районного значения в комплексе с сетями инженерно-технического обеспечения (водоснабжения, водоотведения, теплоснабжения, бытовой и ливневой канализации, газоснабжения, электроснабжения, сети связи), расположенные в северо-восточной части города Оренбурга Оренбургской области"
(Зарегистрирован 24.06.2024 № 0059/2024/02)
Номер опубликования: 5601202407030003
Дата опубликования: 03.07.2024
Страница №201 из 322:
Увеличить