Официальное опубликование правовых актов
ОФИЦИАЛЬНОЕ ОПУБЛИКОВАНИЕ
Постановление Правительства Оренбургской области от 14.01.2026 № 1-пп
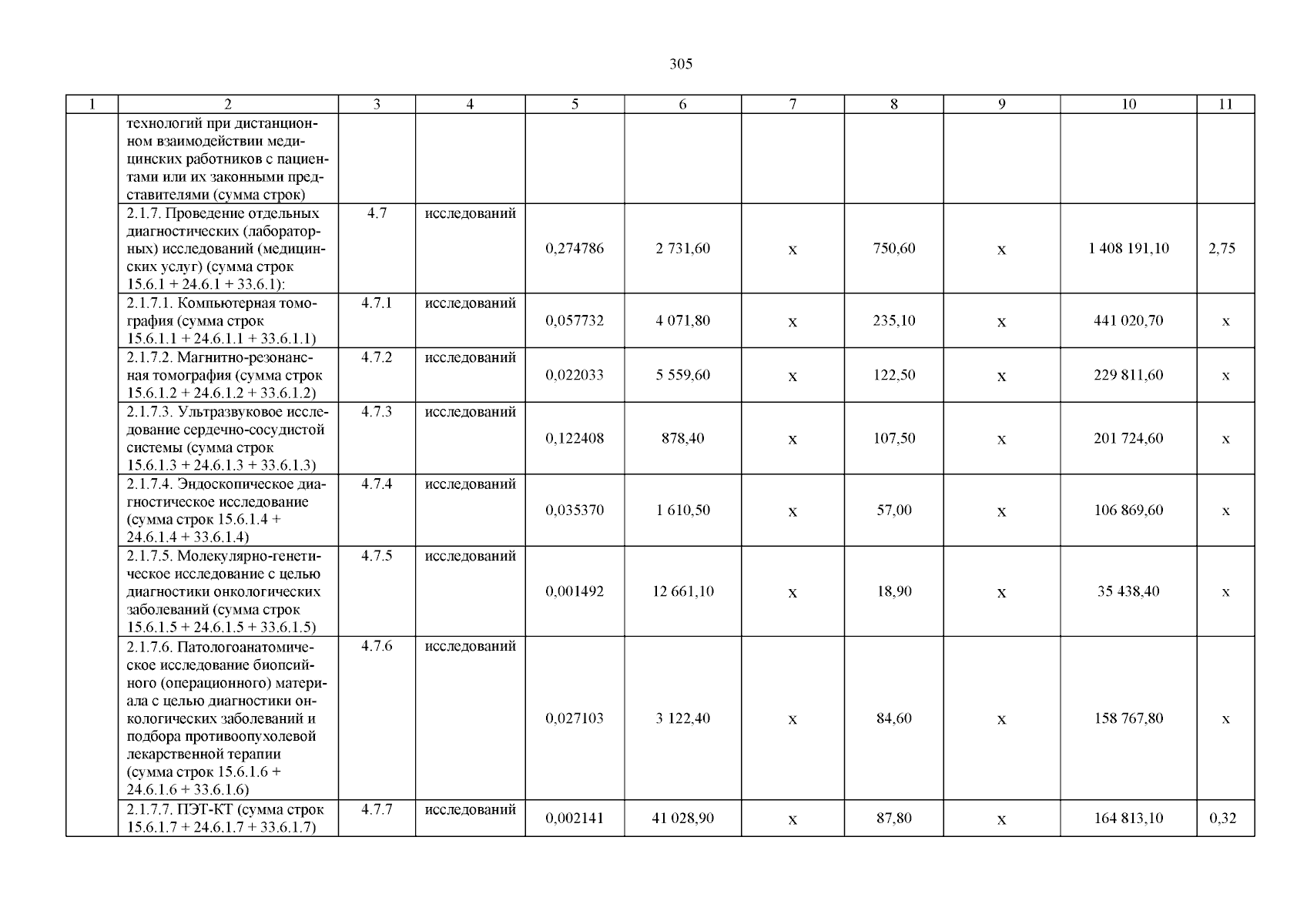
"О территориальной программе государственных гарантий бесплатного оказания гражданам на территории Оренбургской области медицинской помощи на 2026 год и на плановый период 2027 и 2028 годов"
Номер опубликования: 5600202601220009
Дата опубликования: 22.01.2026
Страница №305 из 352:
Увеличить