Официальное опубликование правовых актов
ОФИЦИАЛЬНОЕ ОПУБЛИКОВАНИЕ
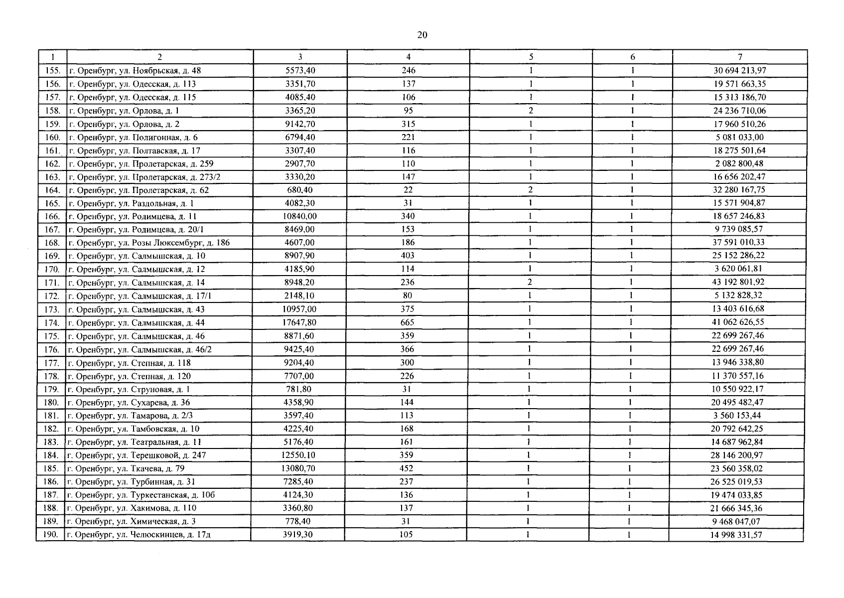
Постановление Правительства Оренбургской области от 24.12.2025 № 1523-пп
"О внесении изменения в постановление Правительства Оренбургской области от 19 августа 2025 года № 875-пп"
Номер опубликования: 5600202512260039
Дата опубликования: 26.12.2025
Страница №20 из 154:
Увеличить